网站首页  词典首页


请输入您要查询的字词:

 

字词 肽类抗生素
类别 中英文字词句释义及详细解析
释义
肽类抗生素

肽类抗生素

肽类抗生素是一类由放线菌、真菌和细菌等产生的具有肽键结构的化合物,结构复杂多样,通过肽键(—CDN-H—)将各种氨基酸结合成环状或链状或枝链环状的高分子多肽化合物,分子结构中带有游离的氨基和羧基,一般为碱性,遇碱或酶,降解为三肽、二肽或单个氨基酸。其生物活性也多种多样,有抗革兰阳性、阴性菌、分枝杆菌、真菌、酵母和抗肿瘤、抗病毒等作用。现已阐明结构的有数十种,根据结构类型和活性分类如下:
(1) 链状肽: 诺卡型菌素(noformicin),纺缍霉素(ne-tropsin)有抗菌和抗病毒作用。
(2) 环状肽: 短杆菌肽(gramicidin),短杆菌肽S (gr-amicidins),短杆菌酪肽A、B、C (tyrocidine A、B、C),主要抗革兰阳性菌。
(3) 带有枝链的环状肽: 多粘菌素类(polymixins)粘菌素(colistin),主要抗革兰阴性菌;杆菌肽(bacifracin),广谱抗菌; 紫霉素(viomycin)、缠霉素(capreomycin)、结核放线菌素(tuberactinomycin)主要抗结核杆菌。
(4) 缩肽: 维及尼霉素 (virginiamycin)、原始霉素(ppristinamycin),前者对革兰阳性球菌和支原体有效,后者广谱抗菌。
(5) 糖肽类: 万古霉素(vancomycin)抗革兰阳性菌。
此外抗肿瘤抗生素博来霉素、新制癌素等都是多肽类抗生素(见抗肿瘤抗生素条)。
本类抗生素的化学特征是分子中常有D型氨基酸,有些含有不常见氨基酸,又多数具有环状结构,通过肽键、酰胺键和酯键联结,对蛋白酶有一定的抵抗力。细菌对多肽类抗生素的耐药性,发展较慢,与其他抗生素交叉耐药性少,因而多用于耐药菌感染。本类抗生素一般毒性较大,诺卡型霉素、纺綞霉素未用于临床,短杆菌肽类抗生素和杆菌肽仅作外用。多粘菌素类为重要抗阴性菌抗生素,有肾毒性;紫霉素、缠霉素和结核放线菌素抗耐药性结核杆菌,有肾、耳毒性,都已在临床应用。万古霉素对耐药菌效用较好,对厌氧菌难辨梭状芽胞杆菌效果较好,虽毒性较大,亦有一定的临床应用价值。
多粘菌素和万古霉素另立条目,临床应用较少的杆菌肽、紫霉素、缠霉素和结核菌放线菌素见本条。
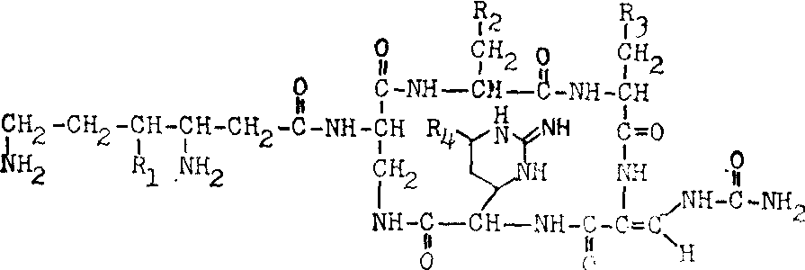
杆菌肽(bacitracin,ayfivin) 是苔藓样杆菌B. liche-niformis产生的肽类抗生素。至少含有九种以上的组分:A,A′,B,C,D,E,F1,F2,F3。它们具有相似的化学结构。一般商品中以A成分含量最多。水解产物含有半胱氨酸、鸟氨酸、组氨酸、天门冬氨酸、谷氨酸、亮氨酸、异亮氨酸和苯丙氨酸等。成分A的结构如图。为浅黄色或近白色,味苦有吸潮性的粉末。易溶于水,水溶液室温稳定性差,需冷藏。干品室温可保存两年。
杆菌肽的抗菌谱与青霉素G相似,主要抗革兰阳性菌。对淋球菌、脑膜炎双球菌和流感杆菌等革兰阴性菌亦有效。
杆菌肽与青霉素G、链霉素、新霉素等联合使用时对多种细菌有协同作用,对耐药的菌株也有效。细菌对杆菌肽和其他抗生素间无交叉耐药性。


杆菌肽可使细菌的核酸堆积,抑制其细胞壁的合成,阻碍脱磷酸化作用,影响磷酸的运转和向胞壁支架输送粘肽复合物。
口服杆菌肽吸收很少,肌内注射很快吸收,二小时后血浓度可达高峰。药物广布于各脏器和各组织中,主要自肾小球滤过排出。局部应用很少发生过敏反应。杆菌肽毒性较高。毒性反应主要表现为对肾脏的损害,损害程度和剂量大小成正比,因此使用时应注意尿液和肾功能的变化。口服或肌内注射均有消化道刺激症状。应深部肌注。成人每次剂量为1万~2.5万U,每六小时给药一次,日总量不超过10万U。儿童剂量为每日600~1600U/kg,分4次注射。
肌内注射杆菌肽主要用于治疗革兰阳性菌所引起的感染。但由于毒性大,对肾脏有损害,且疗效并不比其他抗菌素为优,一般不作全身应用,除非其他抗生素均无效而危及生命的感染,才考虑注射用药。临床主要作局部应用治疗皮肤感染和某些外科疾病如伤口感染、骨髓炎和口腔、眼科等浅表感染。
紫霉素 (viomycin) 是链丝菌Str. puniceus和Str.floridae产生的一种碱性肽类抗生素。商品为晶形的草酸盐或硫酸盐。紫霉素分子中含有胍基、肌酐、丝氨酸、α,β-二氨基丙酸,β-赖氨酸和reseonine或α-(2-亚氨基-6 羟-4-嘧啶)甘氨酸,硫酸盐易溶于水,不溶于乙醚、乙醇、氯仿等。干品很稳定,室温可保存两年,水液可保存两周。

  R1R2R3R4
紫霉素 HOHOHCH
结核放线菌霉A
N
O
OH
OH
H
OH
OH
OH
OH
OH
OH
OH
H
H
缠霉素IA
IB
H
H
OH
H
NH2
NH2
H
H

紫霉素的抗菌谱较简单而特殊,有抗分枝杆菌包括结核杆菌的抗菌作用,但对其他细菌作用较弱。体外抗结核杆菌的强度为链霉素的1/2~1/10,也较异烟肼、卡那霉素为弱,但比对氨基水杨酸、环丝氨酸和其他二线抗结核药的作用强。紫霉素、异烟肼、链霉素和对氨水杨酸之间无交叉耐药性,但与卡那霉素、缠霉素和结核放线菌素之间有部分交叉耐药性。作用机制为抑制蛋白质合成,主要抑制结核菌的生长。
紫霉素口服吸收极少,肌内注射后两小时血浓度可达高峰90μg/ml,8小时后下降至12~13μg/ml。主要分布于肺、肾、脾等,但心、肝及脑内则极少分布。主要从尿中排出。
紫霉素毒性反应较为常见,发生率与剂量大小成正比,肾功能不全者更易发生。主要表现为血液电解质紊乱、肾功能损害、嗜酸粒细胞增加、晕眩和耳聋等现象。肾脏损害可逆。由于紫霉素毒性反应大,一般只作为治疗结核病的辅助药物,常与其他抗结核药配合使用,也可在外科手术前后应用,以预防结核病的发展。常采用深部肌内注射,间歇给药,每周两天,间隔3~4天,每天1~2g,分二次注射。小儿剂量为每日20~40mg/kg体重,每周给药两天,疗程为4~6月或更长。使用过程中注意不良反应的发生。
缠霉素(capreomycin) 又名卷须霉素、卷曲霉素,是缠绕链霉菌Str.capreolus所产生的一种抗结核菌肽类抗生素。含有ⅠA、ⅠB、ⅡA、ⅡB四种组分。其中ⅠA、ⅡA是主要成分。
四种活性成分均为碱性,白色无定形结晶性粉末,商品为二硫酸盐。 极易溶于水, 不溶于有机溶剂。 其水溶液甚稳定。水解液内含有丝氨酸、丙氨酸、β-赖氨酸、α、β-二氨基丙酸和α-(2-亚氨基-6氢-4-嘧啶)甘氨酸。
缠霉素有抗结核杆菌作用,但对革兰阴性杆菌的作用弱。对其他革兰阳性菌几无作用。IA与IB的抗菌作用比IIA、IIB强7倍。缠霉素抗结核菌的强度约为链霉素、卡那霉素、乙胺丁醇、对氨基水杨酸等的1/2,为异烟肼的1/10,与乙硫异烟胺相近,但比紫霉素强。除对紫霉素和结核放线菌素外,对其他几种抗结核药无交叉耐药性。但与卡那霉素、新霉素之间有部分交叉耐药性。它的作用原理为抑制蛋白质的合成。
缠霉素易被胃酸水解,故口服无效。肌内注射后吸收较快,给药后2小时左右血浓度可达高峰,有效血浓度持续6~12小时。自肾小球滤过后从尿中以原形排出。
缠霉素在临床使用中表现的副作用与链霉素相似,主要是肾毒性和耳毒性,因而使用中应定期检查肾功能、血中电解质平衡情况和听力。
缠霉素主要用作结核病治疗的二线药物,特别适用于对一线药物有耐药性或不能耐受的结核病人。一般与其他抗结核药物合用以提高疗效,并能使细菌的耐药性延缓发生。
结核菌放线菌素(tuberactinomycin,enoiomycin) 是链丝菌Strept. griseoverticillatus var.tuberacticus所产生的抗结核菌肽类抗生素,化学结构与紫霉素相似,与紫霉素有交叉耐药性。原产生菌产生A、B两组分,以A为主。诱变株NO-130产生N,O,A,B四组分,以N为主。四种成分中,以N抗结核杆菌活性最高,耳、肾毒性比紫霉素小,商品以结核菌放线菌素N为主。其抗菌作用、吸收、分布和排泄基本类似紫霉素。临床主要治疗耐药肺结核病人,与利福平合用疗效最佳。肌内注射每天1g,疗程3月;或每周二次,疗程9月。有耳鸣、听力减退、蛋白尿、药物热和眩晕等不良反应。
☚ 利福平和利福定   多粘菌素类抗生素 ☛
00005638
随便看

 

离鸟网收录3541549条中英文词条,其功能与新华字典、现代汉语词典、牛津高阶英汉词典等各类中英文词典类似,基本涵盖了全部常用中英文字词句的读音、释义及用法,是语言学习和写作的有利工具。

 

Copyright © 2004-2024 vtrois.com All Rights Reserved
更新时间:2026/4/18 22:17:38