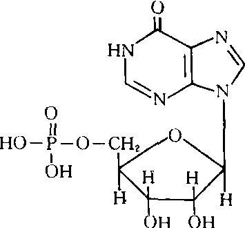
肌苷酸inosinic acid又称次黄苷酸、一磷酸次黄苷(inosinemonophosphate)。由次黄嘌呤、核糖和磷酸组成的5′-核苷酸。缩写符号为IMP。结构式如下。是生物体内各种嘌呤核苷酸从头合成过程中首先合成的一种嘌呤核苷酸,然后再转变成其他嘌呤核苷酸。出现在某些tRNA中,作为反密码子中的一个核苷酸。广泛存在于肉类中,由ATP降解产生。其钠盐为无色结晶或白色粉末,有特异的鲜鱼味,易溶于水。在食品上作鲜味剂,与鸟苷酸钠及谷氨酸钠混合使用,可使味精的鲜度提高数倍。在医药上用于治疗多种肝病、心脏病以及血小板和白细胞减少症。 
肌苷酸又称“次黄苷酸”。为次黄嘌呤核苷酸,其碱基组分是次黄嘌呤。 |