网站首页  词典首页


请输入您要查询的字词:

 

字词 联合作用分析
类别 中英文字词句释义及详细解析
释义
联合作用分析

联合作用分析

药理和毒理等研究中,经常需要确定两种或几种因素对机体的联合作用。联合作用有三种类型: 独立的联合作用,相加的联合作用,协同或拮抗作用。
独立的联合作用 两种因素(如毒物)的作用互相独立,即两种因素的作用方式和部位不同,对机体产生的影响互不关联,其一的剂量减少并不能用另一的剂量增加来代替。
设两种药物单独作用于机体所引起的阳性反应率各为p1与p2,混合使用时呈现独立的联合作用,其阳性率并非p1+p2,而是
p=1-(1-p1)(1-p2)=p1+p2-p1p2,(1)式中(1-p1)(1-p2)表示混合使用两药后的阴性率。同理,n种互相独立的因素作用于机体所引起的阳性反应率为

p=1-(1-p1)(1-p2)…(1-pn)。(2)


若机体对两种因素的敏感性存在相关,且第一种因素的作用较强,则

p=p1+p2(1-p1)(1-r),(3)

式中r为相关系数。当r=0时,式(3)和式(1)相同;当r=1时,p=p1,即第二种因素的作用完全与第一种因素的作用相重复,或者说完全被第一种因素的作用所掩盖。相加的联合作用 又称相似的联合作用。两种作用方式和作用部位均相同的因素(如结构相似的化学物质)作用于同一种生物的剂量(对数)反应(概率单位)回归线往往是平行或接近平行的,其中之一的剂量减少可以用另一种的剂量按比例的增加来代替。设两药的剂量反应回归线是:
A药 y=a1+blgX1 (4)
B药 y=a2+blgX2,(5)式中y为反应率的概率单位,X为剂量。现以ρ表示B药对A药的相对效力,即ρX2=X1,则式(4)可改写成

y=a1+blg(ρX2),(6)

式(6)和式(4)实际上是一样的。ρ的计算可按式(7),

由式(4)与式(6)可知,呈相加作用的两药合用的剂量反应线为

y=a1+blg(X1+ρX2)。(8)

若用XM表示混合物的剂量,用π1及π2分别表示其中两药的含量比例,则式(8)可改写成

y=a1+blg[(π1+ρπ2)XM],(9)

或 y=aτ+blgXM,(10)其中 aτ=a1+blg(π1+ρπ2),(11)aτ是根据两药单独试验的结果可以计算出来的理论值。又由两药合用的试验结果可算出剂量反应回归线
y=aM+blgXM。(12)
式中的aM为实测值,将aM与aτ进行比较,经假设检验,可推断是存在“相加作用”还是有“协同作用或拮抗作用”。
协同作用和拮抗作用 一种因素(如A药)可以增强另一种因素(如B药)的作用时,称为协同作用或增效作用。反之,一种因素可以减弱另一种因素的作用时,称为拮抗作用(即负的协同作用)。此时两药合用的剂量反应回归线是

式中K为协同系数(表示增效作用大小)。若K=0,则式(13)与式(9)相同;若K显著大于0,说明有协同作用;若K显著小于0,说明有拮抗作用。k的计算按式(14),

式中PM1为两药合用时对A药的相对效力,可按式(7)计算。为了更准确地测定K,最好试验两种以上不同比例的混合剂。联合作用的假设检验 即将aM与aτ作比较,也就是检验两药合用的结果与按相加的联合作用公式算出的理论值有无差别。可用u检验,方法如下:
(1)分别求出A、B两药单独使用〔按式(4)及式(5)计算〕及合用〔按式(12)计算〕时的剂量反应回归线。用加权直线回归法精确度较高(见条目 “半数效量概率单位法”)。
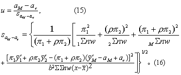
(2) “检验,按式(15)计算统计量u值。

式中aM为两药合用时所得剂量反应回归线的截距,aτ按式(11)计算,n为各组观察单位数,w为加权系数,'为作业概率单位的均数。n、w及'均在计算加权直线回归时算过。算得u值后,查u界值表得P值,按所取检验水准作出推断结论。
例 甲乙两种杀虫剂及其1:4混合物的剂量反应(概率单位)回归线分别为:
甲: y1=2.336+3.891 lgX1
乙: y2=0.660+3.891 lgX2
混合物: y=1.302+3.891 lgXM,并算得saM-aτ=0.141。问乙药对甲药是否有协同作用?
H0: 乙药对甲药只有相加的联合作用而无协同或拮抗作用,
H1: 乙药对甲药有协同或拮抗作用。
a=0.05。


查u界值表,0.5>P>0.2,按α=0.05水准不拒绝H0,故尚不能认为乙药对甲药有协同或拮抗作用。
☚ 半数效量序贯法   病例随访资料分析 ☛
00013290
随便看

 

离鸟网收录3541549条中英文词条,其功能与新华字典、现代汉语词典、牛津高阶英汉词典等各类中英文词典类似,基本涵盖了全部常用中英文字词句的读音、释义及用法,是语言学习和写作的有利工具。

 

Copyright © 2004-2024 vtrois.com All Rights Reserved
更新时间:2026/4/19 19:06:49