网站首页  词典首页


请输入您要查询的字词:

 

字词 傣肌松[中]
类别 中英文字词句释义及详细解析
释义 傣肌松[中]

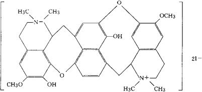
C38H44l2N2O6=878.59

为防己科植物亚乎鲁Cissampelos parcira L.的根茎中提出的一种生物碱。

经碘甲烷化后制成亚乎鲁碱的碘甲烷盐。

亚乎鲁碱的碘甲烷盐。

Cissampelosine methiodide.

横纹肌松弛药。用于外科手术中使横绞肌松弛。

生藤碱Ⅱ,肌松,雅红隆。

Cissampelosine Methiodide,Hayatin Methiodide,Hayatini II.

傣肌松注射液。

随便看

 

离鸟网收录3541549条中英文词条,其功能与新华字典、现代汉语词典、牛津高阶英汉词典等各类中英文词典类似,基本涵盖了全部常用中英文字词句的读音、释义及用法,是语言学习和写作的有利工具。

 

Copyright © 2004-2024 vtrois.com All Rights Reserved
更新时间:2026/4/19 0:31:49