傅立叶变换
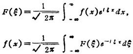
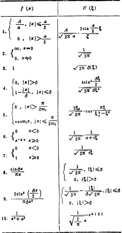
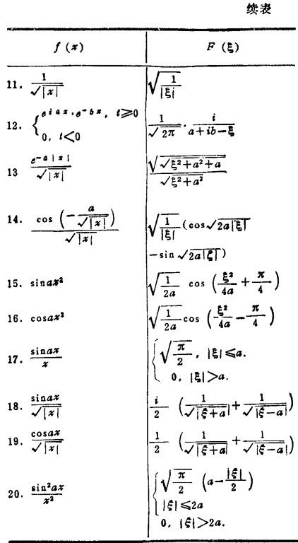
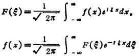
11.2.1 傅立叶积分的几种形式 设函数f(x)在无穷区间(-∞,+∞)上绝对可积,定义f(x)的傅立叶积分为  若f(x)的傅立叶积分满足收敛的条件,则傅立叶积分有以下几种形式:   ❸ 若f(x)是偶函数,则  ❹ 若f(x)是奇函数,则  11.2.2 傅立叶变换 定义:设函数f(x)满足  存在:f(x)在(-∞,∞)上满足狄利克莱条件即f(x)只有有限个极值点,只有有限个第一类间断点,则存在  称F(ξ)为f(x)的傅立叶变换,第二式称为傅立叶变换的反演公式。 傅立叶变换的性质:设f(x),g(x)的傅立叶变换分别是F(ξ),G(ξ),则 线性 af(x)+bg(x)的傅立叶变换是aF(ξ)+bG(ξ)。 卷积 f(x)*g(x)= 的 傅立叶变换是F(ξ)·G(ξ)。   翻转 f(-x)的傅立叶变换是F(-ξ)。 共轭 的傅立叶变换是 。 时移(延迟) f(x-x0)的傅立叶变换是 。 频移(调频) F(ξ-ξ0)是 的傅立叶变换(ξ0是常数)。 11.2.3 傅立叶变换表 见表1.1-16。 表1.1-16 傅立叶变换表    |