网站首页  词典首页


请输入您要查询的字词:

 

字词 偿还年限法
类别 中英文字词句释义及详细解析
释义 偿还年限法

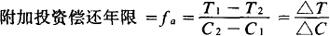
如果生产同一产品有两个不同的方案,一个方案投资费用大而成本费用低,另一个方案投资费用小而成本费用高,那么为了比较这两上方案的经济效果,广泛采用的一种方法,称为偿还年限法。

叙述如下:设甲、乙两方案生产同一产品,投资费用分别为T1、T2,若T1>T2,年成本费用分别为C1、C2,且C1<C2,则有:

其中,fa表示全部附加投资额从成本节约额中收回的年限。设fn为国家规定标准回收期,则当Fa>fn时,方案乙优于方案甲;当fan时,方案甲优于方案乙。

此外,对于一个技术方案而言,还有一种总投资偿还年限法。计算公式是:

这是一个绝对经济效果指标,不常使用。

随便看

 

离鸟网收录3541549条中英文词条,其功能与新华字典、现代汉语词典、牛津高阶英汉词典等各类中英文词典类似,基本涵盖了全部常用中英文字词句的读音、释义及用法,是语言学习和写作的有利工具。

 

Copyright © 2004-2024 vtrois.com All Rights Reserved
更新时间:2026/4/17 19:21:19