网站首页  词典首页


请输入您要查询的字词:

 

字词 偿债能力
类别 中英文字词句释义及详细解析
释义 偿债能力

一般用当年还本付息的债务额与出口收入的比率来衡量。

因为外债通常需要用外汇来偿付,而外汇收入主要来源于出口。因此,出口量和出口收入的大小就成为制约一国借债规模、决定一国偿债能力的主要因素。实践证明,当年还本付息的债务与出口收入的比率保持在20%(即占20%的比例)为宜。超出这一比例,将会产生债务偿还上的困难,影响一国国际收支的平衡,并进而引起外汇更加短缺,经济增长依赖于更多的外债来推动等不良情况。

除上述因素和指标外,还可以用一国的人均债务量(债务总额除以人口总数)等指标来衡量外债规模、债务负担和偿债能力。在经济统计中,联合国等国际机构通常采用上述指标来反映一国的引进外资和外债情况。

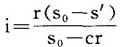
瑟尔沃尔还提出了一个“警戒利息率”公式来判定一国的借债规模和能力:

i代表“临界利息率”(the critical rate of interest),r为合意的增长率(the desired growth rate),s0为初始的储蓄率(the initial saving rate),s′是边际储蓄率,c是资本-产出比率。这个公式表明:如果临界利息率超过了偿债比率,就是债务规模不适当,说明借债过多,超过了偿还能力,而且不宜再借新债。

随便看

 

离鸟网收录3541549条中英文词条,其功能与新华字典、现代汉语词典、牛津高阶英汉词典等各类中英文词典类似,基本涵盖了全部常用中英文字词句的读音、释义及用法,是语言学习和写作的有利工具。

 

Copyright © 2004-2024 vtrois.com All Rights Reserved
更新时间:2026/4/17 21:40:04