网站首页  词典首页


请输入您要查询的字词:

 

字词 偏磷酸氢钠多西环素
类别 中英文字词句释义及详细解析
释义 偏磷酸氢钠多西环素

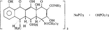
(C22H24N2O8)3·NaPO3·(HPO3)3=1675.22

CAS-83038-87-3

[4S-(4α,4aα,5α,5aa,6α,12aα)]-2-(二甲氨基)-1,4,4a,5,5a,6,11,12a-八氢-3,5,10,12a-五羟-6-甲基-1,11-二氧代-2-并四苯羧酰胺与偏磷酸H4P4O12单钠盐的化合物。

[4S-(4α,4aα,5α,5aα,6α,12aα)]-4-(Dimethylamino)-1,4,4a,5a,6,11,12a-octahydro-3,5,10,12,12a-pentahydroxy-6-methyl-1,11-dioxo-2-naphthacenecarboxamide,compoundwith metaphosphoric acid(H4P4O12)monosodium salt(3∶1).

(4S,4aR,5S,5aR,6R,12aS)-4-(二甲氨基)-1,4,4a,5,5a,6,11,12a-八氢-3,5,10,12,12a-五羟-6-甲基-1,11-二氧代-2-并四苯甲酰胺与三偏磷酸氢钠的(H3NaP4O12)化合物(3∶1)。

(4S,4aR,5S,5aR,6R,12aS)-4-(Dimethylamino)-1,4,4a,5,5a,6,11,12a-octahydro-3,5,10,12,12apentahydroxy-6-methyl-1,11-dioxo-2-naphthacenecarboxamide,compound with sodium trihydrogenmetaphosphate(H3NaP4O12)(3∶1).

抗生素类药。

多西环素偏磷酸氢钠,脱氧土霉素偏磷氢钠盐,偏磷酸氢钠脱氧土霉素。

Doxycycline Fosfatex,ABO8,DMSC.

BAN,USAN.

随便看

 

离鸟网收录3541549条中英文词条,其功能与新华字典、现代汉语词典、牛津高阶英汉词典等各类中英文词典类似,基本涵盖了全部常用中英文字词句的读音、释义及用法,是语言学习和写作的有利工具。

 

Copyright © 2004-2024 vtrois.com All Rights Reserved
更新时间:2026/4/18 23:53:41