网站首页  词典首页


请输入您要查询的字词:

 

字词 罗伊恒等式
类别 中英文字词句释义及详细解析
释义

罗伊恒等式Roy's Identity

在消费者理论中,设价格p=(p1,…,pn)>0, 收入为w。当间接效用函数ν(p,w)可微时, 对p=(p1,…,pn)>0和w>0,有xi(p,w)=,i=1,2,…,n。其中,xi(p,w)是在价格p和收入w之下消费者对第i种商品的需求函数,称为罗伊恒等式。

罗伊恒等式

罗伊恒等式Roy’s Identity

在消费者理论中,设价格p=(p1,…,pn),收入为w。当间接效用函数v(p,w)是可微时,对p=(p1,…,pn)>0和w>0,有

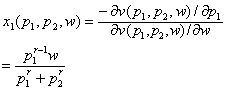
其中xi(p,w)是在价格p和收入w之下消费者对第i种商品的需求函数,称为罗伊恒等式。例如设效用函数u(x1,x2)=x1ρ+x2ρ,可求出间接效用函数v(p1,p2,w)=(p1r+p2r)-1/rw,其中r=ρ/(1-ρ)。由罗伊恒等式,对商品1的需求函数

类似地得x2(p1,p2,w)=p2r-1w/(p1r+p2r)。
☚ 间接效用函数   补偿需求函数 ☛
00000653
随便看

 

离鸟网收录3541549条中英文词条,其功能与新华字典、现代汉语词典、牛津高阶英汉词典等各类中英文词典类似,基本涵盖了全部常用中英文字词句的读音、释义及用法,是语言学习和写作的有利工具。

 

Copyright © 2004-2024 vtrois.com All Rights Reserved
更新时间:2026/4/18 20:30:30