网站首页  词典首页


请输入您要查询的字词:

 

字词 假黄麻
类别 中英文字词句释义及详细解析
释义 假黄麻

【概况】:

异名 假麻区(《生草药性备要》),水丁香(《广西药用植物名录》),针筒麻(《新华本草纲要》),野黄麻(广东)。

基源 为椴树科黄麻属植物假黄麻的全草。

原植物 假黄麻Corchorus acutangulus Lam.(C.aestuans L.),又名甜麻(《广州植物志》),假黄麻(《中国经济植物志》),针筒草(《海南植物志》)。

形态 一年生草本或亚灌木,高达1m。茎红褐色,稍被毛,枝细长披散。

单叶互生;叶柄长0.5~2cm,被长粗毛;托叶线形,长约4mm;叶片阔卵形或狭卵形,长2~6cm,宽1~4cm,顶端短渐尖或急尖,基部圆形,边缘有锯齿,最下面的2锯齿长而成钻形,表面近无毛,背面沿脉有稀疏的毛;基出脉3条。两性花;聚伞花序腋生,总花梗及花梗极短,有1~4朵花;萼片5或4,呈船形,长约5mm;花瓣小,黄色,5或4,与萼片近等长,狭倒卵形;雄蕊12~18枚或更多;子房长圆柱形,顶端3~5突起,被长柔毛。

蒴果长圆柱形,长1.5~3cm,有6~8纵绫,其中3~4棱有狭翅,顶端有3~4个喙状突起,成熟时3~4瓣裂,在种子之间有横隔;种子呈不规则的三或四棱形,一端尖。花期夏季,果期秋至冬初。

(图见《中国高等植物图鉴》.第2册.803页.图3335)

生境与分布 生于旷野、山坡、路旁、田埂。

分布中国于江苏、安徽、浙江、江西、福建、台湾、广东、海南、广西、贵州、云南。

热带亚洲和非洲也有分布。

【生药】:

采集 夏、秋间采收,晒干。

药材产于广东、广西。

鉴别 干燥全草茎直径3~6mm,棕褐色,表面常见梭形凹陷网眼,皮薄而强纤维性,难折断。叶片皱缩,枯黄色,易脱落。蒴果多数开裂,外表棕褐色。以全株有叶果干燥者为好。

【化学】:

全草中分离出槲皮素[1]

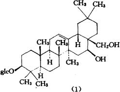
假黄麻地上部分分到4个新的三萜甙,命名为黄麻生甙A~D(Corchorusin A~D),其结构依次为:长刺掌甙元3-O-β-D-半乳吡喃糖甙(Longispinogen 3-O-β-D-galactopyranoside)、柴胡甙元F-3-O-β-D-半乳吡喃糖甙、23-羟基长刺掌甙元3-O-β-D-半乳吡喃糖甙、柴胡甙元E-3-O-β-D葡萄吡喃糖(1→2)-β-D-半乳吡喃糖甙。黄麻生甙A(1)结构式如下[2]

参考文献 [1] 江苏新医学院.中药大辞典.上海人民出版社,1977∶4518 [2] JChem Soc Perkin Trans Ⅰ 1987;(3)∶624

。【药性】:

性味 《生草药性备要》:“淡,寒。”

功效 清热解毒。

主治 麻疹,热病下利,疥癞疮肿。 ❶ 《生草药性备要》:“小儿疳积,理伤风漏底,煲水饮,消暑,敷疮,散毒,消肿,止血。”
❷ 《岭南采药录》:“伤寒误下痢不止,煎水洗疥癞麻疹。”
❸ 《广西药用植物名录》:“头痛,白带多,小儿疳积,筋骨痛。”
❹ 《广州植物志》:“嫩叶:作菜汤有清凉解暑的功用;和黄糖捣烂敷疮上有拔毒之效。”
❺ 《野生药用植物图说》:“跌打。”

用法用量 内服:煎汤。

外用:煎水洗或捣敷。

。【临床应用】:

单方应用 ❶ 《福建药物志》:“治中暑,麻疹,痢疾,咽喉肿痛,风湿痛,跌打损伤,疥疮疖肿:假黄麻15~30g,水煎服;外用鲜品全草适量,捣敷或水煎洗患处。”
❷ 《广西药用植物名录》:“治阿米巴痢疾:甜麻适量,水煎服。”
❸ 《全国中草药汇编》:“治中暑发热,咽喉疼痛:野黄麻15~30g,水煎服。孕妇忌服。

随便看

 

离鸟网收录3541549条中英文词条,其功能与新华字典、现代汉语词典、牛津高阶英汉词典等各类中英文词典类似,基本涵盖了全部常用中英文字词句的读音、释义及用法,是语言学习和写作的有利工具。

 

Copyright © 2004-2024 vtrois.com All Rights Reserved
更新时间:2026/4/20 14:23:56