网站首页  词典首页


请输入您要查询的字词:

 

字词 假荔枝根
类别 中英文字词句释义及详细解析
释义 假荔枝根

【概况】:

异名 五爪金龙(《植物名实图考》),七叶莲(广西金秀,广东),木通七叶莲(《全国中草药汇编》)。

基源 为木通科野木瓜属植物野木瓜的干燥带根全草。野木瓜属全世界约25种,中国有22种,供药用的约5种。

原植物 野木瓜Stauntonia chinensis DC.

形态 常绿木质藤本;茎,枝无毛。叶为掌状复叶;小叶3~7,近革质,大小和形状变异很大,顶端渐尖,具长1.5~3cm小叶柄。

复总状花序,每个总状花序上具花3~4朵;花雌雄异株,同型,具异臭;萼片6个,长可达1.6cm,2轮,内轮3个较小,绿色带紫;雄花的雄蕊甚短于萼片,花丝全部合生,无密腺;雌花心皮3,胚珠多数,具密腺6个,不育雄蕊极小,果实浆果状椭圆形,长约5cm,熟时橙黄色至紫红色。花期4~6月,果期7~10月。

(图见《中国高等植物图鉴》.第1册.757页.图1514)

生境与分布 生于山谷、林缘灌丛中。分布于浙江、安徽、福建、江西、湖南、广东、广西、云南。

。【化学】:

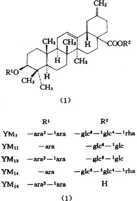
从全草分得8个新的去甲五环三萜皂甙,分别命名为野木瓜甙(Yemuoside)YM10、YM12[1]、I[2]、YM7、YM11、YM13、YM14及一原生皂甙YM16[3],它们的结构分别为:3-O-α-L-吡喃鼠李糖-(1→2)-α-L吡喃阿拉伯糖-30-去甲齐墩果-12,20(29)-二稀-28-羧酸-28-O-α-L-吡喃鼠李糖-(1→4)-β-D-吡喃葡萄糖糖-(1→6)-β-D-吡喃葡萄酯(YM10)、3-O-α-L-吡喃鼠李糖-(1→2)-α-L-吡喃阿拉伯糖-30-去甲齐墩果-12,20(29)-二烯-28-羧酸-28-O-β-D-吡喃葡萄糖-(1→6)-β-D-吡喃葡萄糖酯(YM12)、3-O-α-L-吡喃阿拉伯糖-(1→3)-α-L-吡喃鼠李糖-(1→2)-a-L-吡喃阿拉伯糖-30-去甲齐墩果-12,20(29)-二烯-28-羧酸-28-O-β-D-吡喃葡萄糖-(1→6)-β-D-吡喃葡萄糖酯(I)、及如下结构的YM7、YM11、YM13、YM14、YM16(1)]。

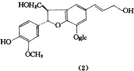
又从全草中分得二个新木脂素甙,命名为野木瓜甙YM2、YM6[4],结构分别为(-)-橄榄脂-9-O-β-D吡喃芹糖(1→6)-β-D-吡喃葡萄糖甙及(-)-环-橄榄脂-9′-O-β-D-吡喃芹糖(1→6)-β-D-吡喃葡萄糖甙。从全草得新的去甲三萜皂甙野木瓜甙YM8和YM9(Yemuoside M8,M9)[5]及新的木脂素甙野木瓜甙YM1(Yemuoside YM1)(2)[6]

从根分得皂草甙(Saponarin)和6-羟基木犀草素7-β-D-葡萄糖甙[7]

参考文献 [1] 药学学报 1989;24(6)∶444-451 [2] CA 1991;115∶275746m [3] Planta Med 1989;55(3)∶303-6 [4] CA 1989;111∶93889v [5] J Nat Prod 1990;53(2)∶313 [6] J Nat Prod 1992;55(2)∶214 [7] 中草药 1992;23(11)∶567

【药性】:

主治 腋痈,睾丸肿大,痛经。

用法用量 内服:煎汤,10~15g;或浸酒。

【临床应用】:

方选和验方 ❶ 木通七叶莲片(《全国中草药汇编》)治外科手术后引起的疼痛:木通七叶莲片3~4片(每片含生药1g),每日3次;或木通七叶莲3~9g,水煎服。

❷ 假荔枝煎剂、胶囊、针剂(湖南医学院附属二院《中草药新医、新针资料汇编》1971;)止痛:假荔枝根、茎、叶900g,制成煎液1000ml,每次10~20ml;或粉剂制成胶囊,每次服6~8粒(每粒含生药0.15~0.25g);或针剂供肌肉注射,每次2~4ml(每1ml相当生药2.5g)。
❸ 野木瓜针剂(江西药科学校《新医药资料》1973;)治痛经:野木瓜针剂2ml(含生药10g),于经前经期间疼痛时,肌肉注射。
❹ 复方七叶莲针剂(福州市第二医院)治各种疼痛(疾病引起):两面针根1份,野木瓜2份,75%酒精适量,浸渍提取液制成针剂。

痛时,每次2ml(含原生药两针1g,野木瓜2g)肌肉注射。

❺ 《福建药物志》:“治十二指肠溃疡:野木瓜12g,高良姜4.5g,制香附9g,水煎服。”
❻ 《福建药物志》:“治坐骨神经痛:野木瓜根、楤木根、福建胡秃子根、大血藤根、五加根各15~24g,水煎服。”
❼ 《福建药物志》:“治跌打损伤、脱臼(先复位):野木瓜根或叶、酢浆草、石胡荽、生姜、百两金叶。以上均为鲜品,共捣烂加米酒调敷患处。


❽ 江西《草药手册》:“治风湿性关节炎:野木瓜、虎杖、鱼腥草、马鞭草各适量,煎服。”

单方应用 ❶ 《浙江天目山药用植物志》:“治腋痈:干假荔枝根皮(去栓皮,切碎)30g,红糖60~90g,烧酒250ml。装瓶,放温汤内烫浸1小时后,取出澄清液,每日3次,每次90ml。饭前服,可酌量增减,服至全愈为止。


❷ 《浙江药用植物志》:“治跌打损伤:鲜野木瓜根、酒糟各适量,捣烂,用巴焦叶包裹,煨热敷患处。”
❸ 《江西药用植物名录》:“治跌打损伤、风湿骨痛:野木瓜根适量,水煎服。”

食疗 《湖南药物志》:“治睾丸肿大:野木瓜根15~30g,猪腰适量同煮食。”

随便看

 

离鸟网收录3541549条中英文词条,其功能与新华字典、现代汉语词典、牛津高阶英汉词典等各类中英文词典类似,基本涵盖了全部常用中英文字词句的读音、释义及用法,是语言学习和写作的有利工具。

 

Copyright © 2004-2024 vtrois.com All Rights Reserved
更新时间:2026/4/19 0:52:28