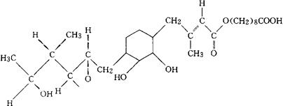
假单孢酸
C26H44O9=500.63 CAS-12650-69-0 (E)-(2S,3R,4R,5S)-5-[(2S,3S,4S,5S)-2,3-环氧-4-甲基己基]-四氢-3,4-二羟基-β-甲基-2H-吡喃-2-丁烯酸,9-羟基壬酸酯。 (E)(2S,3R,4R,5S)-5-[(2S,3S,4S,5S)-2,3-Epoxy-5-hydroxy-4-methylhexyl]tetrahydro-3,4-dihydroxy-β-methyl-2H-pyran-2-crotonic acid, ester with 9-hydroxynonanoic acid. 抗感染药。 Pseudomonic Acid,Mupirocin,Bactroban. INN,BAN,USAN,MI.  |