网站首页  词典首页


请输入您要查询的字词:

 

字词 维生素pp
类别 中英文字词句释义及详细解析
释义

维生素PPvitamin PP

见“维生素B5”。

维生素PPvitaminum PP

为烟酸及烟酰胺的总称,系人体的一种重要营养素。是水溶性,主要存在于酵母、苜蓿、肝脏中。主要生理功能是构成脱氢酶的辅酶成分,参与生物氧化和调节糖、脂肪、蛋白质的代谢。如缺少维生素PP可发生糙(癞)皮病。

维生素PPvitamin PP

即尼克酸与尼克酰胺的统称。

维生素PP

维生素PP


烟酸


烟酰胺


维生素PP(vitamin PP)或PP因子,取名于抗癞皮病(pellagra preventing),现名烟酸类(niacins),是烟酸(nicotinic acid)和烟酰胺(nicotinamide)两者之合称,为复合维生素B成分之一。
十八世纪时,意大利和西班牙多发生癞皮病,1926年证明用酵母能治愈癞皮病,后确定其有效成分为烟酸和烟酰胺。
烟酸,烟酰胺都是溶于水的白色结晶,烟酸熔点236℃;烟酰胺的熔点为128~131℃。前者溶于碱性溶液和醇,不溶于醚,后者可溶于醚。在维生素中稳定性最好,不易被酸、碱及热破坏。
体内能由色氨酸合成烟酸。烟酸在体内可以转变成烟酰胺。
烟酸的来源有肝、肾上腺、鱼、肉和小麦。硬果仁和酵母中含量也较高。
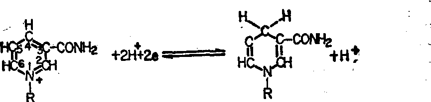
烟酸和烟酰胺是经由小肠吸收。在体内转化为两种吡啶核苷酸,烟酰胺腺嘌呤二核苷酸(NAD,辅酶Ⅰ)和烟酰胺腺嘌呤二核苷酸磷酸(NADP,辅酶Ⅱ)这两种辅酶是细胞呼吸所必需的,它们参与碳水化合物、脂肪和蛋白质的能量释放。辅酶Ⅰ和Ⅱ与硫胺素,和黄素蛋白辅酶共同在一系列产生能量的氧化还原反应中作为氢的受体和供体。氢转移功能发生在烟酰胺吡啶环的4位碳原子上,如下式所示:


R(NAD中)=腺嘌呤=核苷酸
R(NADP中)=腺嘌呤=核苷酸磷酸
辅酶Ⅰ和Ⅱ亦参于脂肪酸、蛋白质和DNA的合成。在某些过程中,其它的维生素B,如B6、泛酸和生物素(biotin)亦是需要的。
本类维生素在自然界分布很广,一般在动物组织中为烟酰胺,而植物中以烟酸存在。两者的生物活性相同。人类一般不易缺乏。因为除由食物直接供给烟酸和烟酰胺外,在体内尚可由色氨酸转变成一部分烟酸,约60mg色氨酸转变成1mg烟酸。只有长期食用玉米而膳食又单调的人群有可能出现烟酸类缺乏病——癞皮病,因玉米中的烟酸60~70%为人所不能利用的结合型。防治方法主要改变单一化的膳食习惯,并且将玉米用碱处理使结合型释放出游离的烟酸。
烟酸缺乏病的主要症状有皮炎、粘膜炎症,尤其是消化道的炎症,致使舌、嘴红肿和腹泻,还有导致精神上变化、急躁忧郁,严重的可产生幻觉、精神定向障碍、昏呆。
烟酸或烟酰胺治疗癞皮病的皮炎、舌炎、消化道和智力症状有特效。而对外周神经炎和眼睛症状尚需给予硫胺素和核黄素方能取得较好的效果。烟酰胺还曾用于治疗涉及消化道的一些疾病和口炎性腹泻综合征,并治疗由于各种原因引起的口炎和舌炎。用于预防时,日用量可为50mg。治疗严重癞皮病时,剂量为每日500mg。
抗结核药异烟肼的结构与烟酸十分相似,因此对烟酸有拮抗作用。若长期服用异烟肼,应注意适当补充烟酸,否则可能引起某些烟酸缺乏症状。
烟酸还具有血管扩张剂的作用,曾用于治疗血管痉挛,剂量为每日100~300mg。烟酸能抑制极低密度脂蛋白(VLDL)的合成和加速其分解,尚有促进中性胆固醇从肠道排出的作用。明显降低血中VLDL和低密度脂蛋白(LDL),用于Ⅰ型以外的各型高脂血症(见“降血脂药”条)。Ⅱ型病人有严重高甘油三酯血症时此药的作用强于其他降脂药,但由于有效剂量较大,故不良反应较多,限制了临床应用。常见不良反应有因血管扩张引起的颜面潮红和皮肤瘙痒。对胃肠道有刺激作用,加重溃疡病及引起腹泻。继续用药,不良反应可逐渐消失。偶有肝功能损害,降低葡萄糖耐量和血中尿酸增多。Ⅲ、Ⅳ、Ⅴ型高脂血症病人常伴有高血糖病和高尿酸血症,服用本药后会加重其病情,为减少不良反应需从小剂量开始,每次0.1g,以后逐渐增至0.5~1.5g。烟酸铝盐(alumi-nium nicotinate)。625mg相当于500mg烟酸。
烟酸肌醇酯 (inositol hexanicotinate) 吸收后在体内逐渐水解出烟酸而发挥作用,主要利用其缓和而持久的扩张血管作用,治疗各种血管障碍疾病。每次0.2~0.4g,一日三次。
吡啶甲醇(pyridine methanol) 在体内氧化成烟酸而产生降血脂作用。副作用较少。偶见恶心和食欲减退。
☚ 维生素B   维生素B ☛
00005383
随便看

 

离鸟网收录3541549条中英文词条,其功能与新华字典、现代汉语词典、牛津高阶英汉词典等各类中英文词典类似,基本涵盖了全部常用中英文字词句的读音、释义及用法,是语言学习和写作的有利工具。

 

Copyright © 2004-2024 vtrois.com All Rights Reserved
更新时间:2026/4/18 19:45:19