网站首页  词典首页


请输入您要查询的字词:

 

字词 债券的麦考利期限
类别 中英文字词句释义及详细解析
释义 债券的麦考利期限

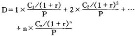
对债券偿还期进行加权平均得出的一种修正期限。利用麦考利期限,可以度量债券投资的资本风险和决定债券的安全持有期。其公式为:

式中,D为麦考利期限;n为债券的期限;Cn为第n年的利息值;r为投资者要求收益率;P为债券价格。

随便看

 

离鸟网收录3541549条中英文词条,其功能与新华字典、现代汉语词典、牛津高阶英汉词典等各类中英文词典类似,基本涵盖了全部常用中英文字词句的读音、释义及用法,是语言学习和写作的有利工具。

 

Copyright © 2004-2024 vtrois.com All Rights Reserved
更新时间:2026/4/18 2:07:27