网站首页  词典首页


请输入您要查询的字词:

 

字词 债券的赎回收益率
类别 中英文字词句释义及详细解析
释义 债券的赎回收益率

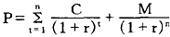
发行债券公司在到期日之前提前偿还本金、赎回债券时投资者所得到的实际收益率。其公式为:

式中,P为购买债券的实际价格;C为持有期内每年所得利息;r为投资者期望收益率;M为债券赎回价格;n为实际持有期限。

随便看

 

离鸟网收录3541549条中英文词条,其功能与新华字典、现代汉语词典、牛津高阶英汉词典等各类中英文词典类似,基本涵盖了全部常用中英文字词句的读音、释义及用法,是语言学习和写作的有利工具。

 

Copyright © 2004-2024 vtrois.com All Rights Reserved
更新时间:2026/4/18 5:31:20