债券折(溢)价
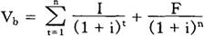
债券发行价格低(高)于债券面值的差额。 债券发行价格是指债券从发行企业转移到初始投资者手中的价格,其决定因素包括:(1)债券面值。债券面值越高,发行价格越高。 (2)票面利率。指公司债券载明的固定不变的利率,债券票面利率越高,发行价格越高。(3)实际利率。指债券发行企业实际负担的利率,是债券发行时通行的市场利率,实际利率越高,债券的价格越低。 (4)债券期限。债券期限越长,债权人风险越大,要求支付的利息越高,债券发行价格越低。 债券发行价格由两部分组成:(1)债券面额按实际利率折算的现值;(2)各期利息按实际利率折算的现值。其计算公式为:  式中:Vb——债券发行价格;I——按各期支付的利息;F——债券面额;n——计息期期数;i——债券发行时的实际利率。 |