网站首页  词典首页


请输入您要查询的字词:

 

字词 债券到期收益率
类别 中英文字词句释义及详细解析
释义 债券到期收益率

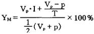
债券期满时投资者所获得的收益率。用公式表示为:

式中,YM为到期收益率;Vp为债券面值;I为票面年利率;p为购买债券的实际价格;T为归还期限(年)。

随便看

 

离鸟网收录3541549条中英文词条,其功能与新华字典、现代汉语词典、牛津高阶英汉词典等各类中英文词典类似,基本涵盖了全部常用中英文字词句的读音、释义及用法,是语言学习和写作的有利工具。

 

Copyright © 2004-2024 vtrois.com All Rights Reserved
更新时间:2026/4/18 13:54:56