网站首页  词典首页


请输入您要查询的字词:

 

字词 倍氯米松
类别 中英文字词句释义及详细解析
释义 倍氯米松

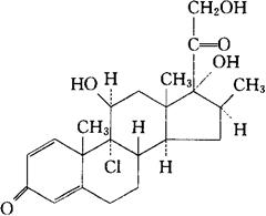
C22H29ClO5=408.92

CAS-4419-39-0

9-氯-11β,17,21-三羟基-16β-甲基孕甾-1,4-二烯-3,20-二酮。

9-Chloro-11β,17,21-trihydroxy-16β-methylpregna1,4-diene-3,20-dione.

皮质激素类药。用于治疗慢性、过敏性哮喘和过敏性皮炎等。

氯地米松。

Beclomethasone,Beclotasone.

INN,BAN,DCF,USAN.

随便看

 

离鸟网收录3541549条中英文词条,其功能与新华字典、现代汉语词典、牛津高阶英汉词典等各类中英文词典类似,基本涵盖了全部常用中英文字词句的读音、释义及用法,是语言学习和写作的有利工具。

 

Copyright © 2004-2024 vtrois.com All Rights Reserved
更新时间:2026/4/18 5:23:19