网站首页  词典首页


请输入您要查询的字词:

 

字词 细胞色素
类别 中英文字词句释义及详细解析
释义

细胞色素cytochrome

存在于生物细胞内的以铁卟啉(血红素)为辅基的一大类色蛋白。迄今已发现30多种,根据辅基结构的不同以及辅基与蛋白质是否共价结合,分为a、b、c、d4类。在每类中,新发现的用下标表示,和已知的相区别,过去用1、2、3等为下标(如c1、a3),现用其还原型特有的3个吸收带(α、β、γ)中的α-带的波长(nm)为下标(如b559、c549)。在呼吸链和光合链中,以其血红素中铁离子可逆得失电子的方式,起着传递电子的作用。

细胞色素

一种以铁卟啉复合体为辅基的血色素蛋白。一般呈红色,存在于动植物细胞中。功能是作为一种电子载体。借助血红素中铁离子能经受可逆的价数变化来实现的。常见的细胞色素有a、b、c和d4种。

细胞色素cytochrome

是以铁卟啉为辅基的血色素蛋白,在呼吸链中发挥传递电子的作用。细胞色素有多种,如b、c1、c、a、a3和细胞色素P450等。

细胞色素

细胞色素

细胞色素是所有需氧生物细胞内的一类电子传递蛋白质,含有铁卟啉辅基,具有红色,故取名为细胞色素。是呼吸链的重要成分,主要存在于线粒体内膜。组织细胞中细胞色素的含量与组织的呼吸活动相平行,心肌等经常运动的肌细胞含细胞色素的量最高; 肝、肾和脑中的含量次之,皮肤和肺中最低,肿瘤和胚胎组织中的细胞色素含量很低。
Macmunn首先在1886年,在动物细胞中发现一种含血红素的色素,取名为组织血红素。但当时的主要生物化学家认为是一种实验错误。直到1925年Keilin证实了Macmunn的发现,并改名为细胞色素。
细胞色素分族 所有需氧生物,不论是细菌或高等动物甚至是人都存在有细胞色素,所有细胞色素在可见光区域都有三个吸收峰,分别称为α、β、γ峰,见表1。各种还原型细胞色素的β峰及γ峰的波长都比较接近,唯有α峰的波长有较大的差别。根据α峰波长的不同,可将动物体内的细胞色素分成a、b、c三族,a族包括a,a3,b族包括bK,bT,b5,P4等, c族包括c,c1

表1 动物体内各种细胞色素的光谱

名 称吸收峰波长(nm)
αβγ
细胞色素a3600 445
细胞色素a
细胞色素c
细胞色素c1
细胞色素bT
605
550
554
565
517
521
523
414
416
418
细胞色素bK
细胞色素b5
563
557
530
527
430
423

除细胞色素b及细胞色素P450主要存在于内质网外,动物细胞的细胞色素都存在于线粒体内膜的蛋白质与脂类复合物中。用水提取只能得到细胞色素c,而其他细胞色素仍然固着在线粒体的不溶性颗粒物质上。
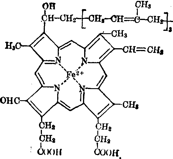
铁卟啉辅基 细胞色素都含有铁卟啉辅基,细胞色素a及a3的辅基是血红素A (图1),血红素A与多肽链的结合是非共价键。细胞色素bT,bK,b5,P450,c和c1的辅基都是血红素(图2),除细胞色素c及c1以外,其他细胞色素的辅基与多肽链结合都是非共价键结合。细胞色素c中的血红素通过卟啉环上的乙烯基的α碳和酶蛋白多肽链的14,17位半胱氨基酸残基的-SH连接成硫醚键(见图2)。

图1血红素A结构


图2 细胞色素C结构


除细胞色素a3及P450外,其余细胞色素中的铁原子所能形成的六个配位键都已被卟啉环中的4个N原子及多肽链的18位的组氨基酸的咪唑氮及80位的蛋氨酸残基的硫原子饱和(见图2),所以不能再与其他配基结合,唯有a3及P450第六个配位键没有被占据,所以能与其他配基如O2,CN-,CO等结合。
细胞色素氧化酶 已断定有两种组分,即a及a3,但不能将两者分开。实际上a和a3结合成一个大分子的寡聚体,但亚基的数量及结构还不清楚,通常称为细胞色素aa3或称细胞色素氧化酶,分子量约为200 000,含有二分子血红素A及二个铜原子。二个血红素A与一些配基的反应性有所差别,氧化型a3的血红素A极易与CN-结合,并且不能再被还原。还原型a3的血红素A极易与CO生成稳定的复合物,从而中断呼吸链的电子传递,而细胞色素a的血红素A则不能与CO和CN-结合,也不能与O2结合。
细胞色素c族 有c及c1都是线粒体细胞色素,二者的光谱性质十分近似,二者的辅基和与酶蛋白的联接方式都相同。c1单体分子量为38 000,c1是以多聚体存在,无论是单体还是多聚体,都不能与aa3起反应。细胞色素c是分子量最小的细胞色素,由于它的分子量小,是可溶的,容易提取纯化,所以研究比较多,对其结构也最清楚,已测定50多种生物的细胞色素c的一级结构,对它的高级结构也进行过详细研究。脊椎动物的细胞色素c由104个残基组成。植物的细胞色素c由112个残基组成。人及黑猩猩的细胞色素c完全一样,尽管各种生物的细胞色素c的残基有许多变化。但其立体结构则基本一致。
细胞色素b族 包括bT、bK、b5、P450等,bT、bK存在于线粒体内膜,是线粒体呼吸链的成分,不能与O2结合。b5及P450主要存在于内质网,是微粒体混合功能氧化酶系的组成成分(见“微粒体氧化”条),还原型P450与CO结合后,在450nm有最大吸收峰(γ峰),故取名细胞色素P450,它能与O2结合。
☚ 氧化酶   呼吸链 ☛

细胞色素

cytochrome


细胞色素

C cytochrom c

随便看

 

离鸟网收录3541549条中英文词条,其功能与新华字典、现代汉语词典、牛津高阶英汉词典等各类中英文词典类似,基本涵盖了全部常用中英文字词句的读音、释义及用法,是语言学习和写作的有利工具。

 

Copyright © 2004-2024 vtrois.com All Rights Reserved
更新时间:2026/4/20 13:06:33