网站首页  词典首页


请输入您要查询的字词:

 

字词 组合恒等式
类别 中英文字词句释义及详细解析
释义
组合恒等式

组合恒等式zuhe hengdengshi

以组合数为主体的关于整数的一类恒等式,它是组合论的重要组成部分.组合数作为二项式的系数以及它本身在组合论中的含义,使得在数学的很多领域 (诸如数论、级数等) 中出现越来越多的各种不同的组合恒等式. 1972年美国出版了一本组合恒等式的表,其中收集了500多个组合恒等式,当然这远不是人们所知道的全部组合恒等式.
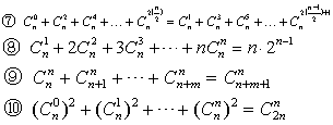
一些复杂的组合恒等式往往是通过几个基本的组合恒等式,经过归纳、递推等方法得到的. 基本组合恒等式有:

此外,还有如下具有重要性的组合恒等式:

在国内外数学竞赛中,时有所见关于计算含有组合数的和式的值以及关于这种和式性质的试题. 如果对组合数的性质和运算技巧缺乏了解,是无法解答的.
例如第16届IMO第3题; 证明不存在一个自然数n,使得被5整除.

☚ 组合几何   染色问题 ☛
00013793
随便看

 

离鸟网收录3541549条中英文词条,其功能与新华字典、现代汉语词典、牛津高阶英汉词典等各类中英文词典类似,基本涵盖了全部常用中英文字词句的读音、释义及用法,是语言学习和写作的有利工具。

 

Copyright © 2004-2024 vtrois.com All Rights Reserved
更新时间:2026/4/19 4:22:12