网站首页  词典首页


请输入您要查询的字词:

 

字词 线性消费系统
类别 中英文字词句释义及详细解析
释义
线性消费系统

线性消费系统Linear Consumption System

消费者对各种商品的支出与商品价格和消费者收入成线性函数关系的系统。是在对数效用函数的特殊情况下,由效用极大化一阶条件导出的。在两种商品情形下,给定消费者对数形式的效用函数:

其中α1和α212=1)称为份额参数,参数β1>0和β2>0是维持生存的最小需求量。效用函数的定义域为:

x11,x22

消费者预算线为:

p1x1+p2x2=m

效用极大化的一阶条件为:

式中,λ为拉格朗日乘数。效用极大化二阶条件在定义域内成立,因为:

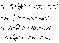
式中,Uij(i,j=1,2)是效用函数的二阶导数。求解一阶条件得需求函数:

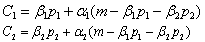
将上述需求函数分别乘以p1和p2得消费函数:

其中C1=p1x1和C2=p2x2分别表示消费者对第一种商品和第二种商品的消费支出。他们与价格和收入成线性关系,故为线性消费系统。它适合于进行线性回归分析,并且满足对p1、p2和m的零阶齐次性,即:

☚ 理性预期   埃奇沃思盒状图 ☛
00000263
随便看

 

离鸟网收录3541549条中英文词条,其功能与新华字典、现代汉语词典、牛津高阶英汉词典等各类中英文词典类似,基本涵盖了全部常用中英文字词句的读音、释义及用法,是语言学习和写作的有利工具。

 

Copyright © 2004-2024 vtrois.com All Rights Reserved
更新时间:2026/4/18 6:14:25