网站首页  词典首页


请输入您要查询的字词:

 

字词 线性概率模型
类别 中英文字词句释义及详细解析
释义
线性概率模型

线性概率模型linear probability model

考虑线性回归模型yi=xiβ+εi,其中yi=1的概率为Pi,yi=0的概率为1-Pi。很清楚xi解释了yi=1或0的概率。让Pi=P(yi=1|xi)=F(xiβ),1-Pi=P(yi=0|xi)=1-F(xiβ)。易见E(yi|xi)=1×F(xiβ) + 0× (1 -F(xiβ))=F(xiβ)。若F(xiβ)=xiβ,则称该线性回归模型为线性概率模型。此时解释变量对被解释变量的边际影响为:

注意,该模型的随机干扰项εi的均值为零,E(εi)=(1-xiβ)F(xiβ)-(xiβ)(1-F(xiβ))=F(xiβ)-xiβ = 0,Var(εi)=(1-xiβ)2F(xiβ)+(-xiβ2)(1-F(xiβ))=(1-xiβ)(xiβ)
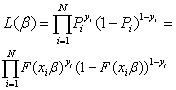
给定N个独立观测值的样本,似然函数为

则对数似然函数为:


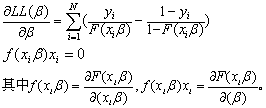
参数估计β就是最大化LL(β)的解,我们解一阶条件


最后,海赛(Hessian)矩阵必须为负定。参数估计量的协方差阵为Var()=
☚ 定性与限值性变量   概率变换 ☛
00000788
随便看

 

离鸟网收录3541549条中英文词条,其功能与新华字典、现代汉语词典、牛津高阶英汉词典等各类中英文词典类似,基本涵盖了全部常用中英文字词句的读音、释义及用法,是语言学习和写作的有利工具。

 

Copyright © 2004-2024 vtrois.com All Rights Reserved
更新时间:2026/4/18 9:47:08