网站首页  词典首页


请输入您要查询的字词:

 

字词 系统分组试验
类别 中英文字词句释义及详细解析
释义
系统分组试验

系统分组试验

系统分组是将受试对象按甲因素分为若干大组,每个大组再按乙因素分为若干小组,每个小组再按丙因素分为若干小小组,……。如此反复地分组、再分组称为系统分组、多层分组、成套分组或分组中的分组。按系统分组设计进行的试验称系统分组试验。
设计 要求每一受试对象都要具备分组、再分组所需的各种分组因素。当一因素(B)的诸水平相似,但在另一因素(A)的不同水平处不相等,这时就要在因素A的诸水平下,套置着因素B的诸水平。但大组因素和小组因素不是平等看待的,而是侧重大组因素。如例1,在性别和年龄两因素中,侧重性别分组。若各大组的小组数相等,各小组的例数相等,计算较为方便。
例1 试用系统分组试验研究正常成年人性别、年龄对心室射血时间的影响。
随机抽取正常成年人80名,分为男女两大组,每大组40人;再各按年龄20~39岁及40岁以上分为两个小组,每小组20人,测得每人心室射血时间(毫秒),见表1(上半部份)。
分析 常见的两因素方差分析法如下:
(1)作检验假设。包括大组间的比较,H0为各大组的总体均数相等; 同大组内各小组间比较,H0为同大组内各小组的总体均数相等。
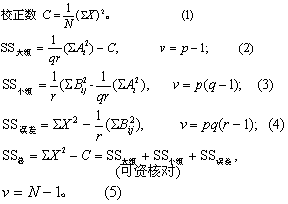
(2)将总变异的离均差平方和及自由度按变异来源分为大组(上例为性别分组)、小组(上例为年龄分组)和误差三部分。令大组组号为i=1,2,…,p(上例p=2):小组组号为j=1,2,…,q(上例q=2); 各小组受试者号为

表1 80名正常成人心室射血时间的系统分组试验

k=1,2,…,r(上例r=20);总例数为N(上例为80)。计算公式为:


(3)分别计算大组及小组的均方MS(=SS/v),如表
2。
(4)分别计算大组及小组的F值。如表2。
大组F=大组均方/小组均方, (6)
小组F=小组均方/误差均方。 (7)
(5)查F界值表得P,按所取检验水准作出推断结论。
例2 就表1资料作方差分析。男女间:
H0: 男女心室射血时间的总体均数相等,H1: 男女心室射血时间的总体均数不等。
年龄间:
H0: 同性别两年龄组心室射血时间的总体均数相等,
H1: 同性别两年龄组心室射血时间的总体均数不等。
均取α=0.05。
按式(1)~(5)计算离均差平方和:
今p=2,q=2,r=20,N=80,其余数据见表1下半部分。
C=(23499.2)2/80=6902655.008。


按式(6)、(7)算得F值见表2。

表2 方差分析

变异来源SSvMSF
21778.01279  
性 别
男女各年龄组
误 差
1687.285
548.392
19542.335
1
2
76
1687.285
274.196
257.136
6.15
1.07

查F界值表,性别间P>0.05,按α=0.05水准不拒绝H0,故与各年龄组间的差异比较时,男女性心室射血时间相差无显著性,可能与年龄分组较粗有关。同性别两年龄组间P>0.05,按α=0.05水准不拒绝H0,可以认为年龄组间均数无差别。
☚ 分割试验   正交试验 ☛
00013197
随便看

 

离鸟网收录3541549条中英文词条,其功能与新华字典、现代汉语词典、牛津高阶英汉词典等各类中英文词典类似,基本涵盖了全部常用中英文字词句的读音、释义及用法,是语言学习和写作的有利工具。

 

Copyright © 2004-2024 vtrois.com All Rights Reserved
更新时间:2026/4/18 7:45:46