网站首页  词典首页


请输入您要查询的字词:

 

字词 糖蛋白
类别 中英文字词句释义及详细解析
释义

糖蛋白glycoprotein

由蛋白质和糖或糖的衍生物所组成的一类复杂蛋白。分子中糖的含量变化很大,少的仅含0.3%,多至80%以上。糖的组分主要有D型的半乳糖、甘露糖、葡萄糖、木糖和L型的岩藻糖、阿拉伯糖以及己糖的一些衍生物和唾液酸等。具有分枝的寡糖链以共价键与蛋白质相连,主要以糖基的1位碳与肽链中羟基氨基酸的羟基或天冬酰胺的酰胺基形成的O-型或N-型糖苷键相连。广泛存在于动物、植物、微生物的细胞及其体液中,如一些激素及其受体,外源凝集素(或称选择素),一些糖苷酶和膜蛋白等。不仅是细胞的一种结构组分,具有支持、保护、润滑机体的功能,而且与酶催化、细胞和分子间识别,以及生物体的抗冻等作用密切相关。

糖蛋白glucoprotein

系与糖结合的蛋白质。糖蛋白中的糖多为己糖、氨基己糖、甲基戊糖及唾液酸等。糖蛋白可由肝脏、内分泌细胞及浆细胞等组织合成,存在于血浆、细胞膜及神经组织中。血浆中的糖蛋白种类及功能较多,包括起运输作用的运铁蛋白、运血红素蛋白及结合珠蛋白,调节机体不同生理活动的激素,参与机体免疫反应的免疫球蛋白,参与血液凝固的凝血因子。生物膜中的糖蛋白与细胞间识别及信息传递以及膜上受体的功能有关,神经组织中的糖蛋白则与神经系统功能有关。

糖蛋白

一类结合蛋白质。非蛋白质部分为糖类物质,并以共价键与蛋白质部分相连接,同时糖类部分往往含有氨基已糖。广布于生物界,如动物体的细胞膜、血液、皮肤、软骨和其他结缔组织中,植物的细胞壁、一些酶分子以及种子植物的贮藏蛋白中都有存在。

糖蛋白glycoprotein

是一种结合蛋白质。其中非蛋白质部分为糖类物质。并以共价键与蛋白质部分相连接,其糖部分常含有氨基乙糖。

糖蛋白

糖蛋白

糖蛋白是一大类含糖的结合蛋白质。它们虽然是蛋白质,但其所含的糖在生物学活性上较为突出,故许多糖蛋白的研究,多以糖为主。此处只讨论糖蛋白的糖链部分,而其多肽链部分则参见“蛋白质”条。糖蛋白所含的糖主要是一些由多种单糖构成的杂寡糖链或杂多糖链。这些杂糖链借N或O糖苷键连接于多肽链部分上。一种糖蛋白分子中的糖链往往不是一条,而是多条,而且在结构上有时也有差异。这表明糖蛋白的结构相当复杂。
糖蛋白的种类繁多而复杂,为了叙述方便,可将哺乳类动物体内的糖蛋白概括为血浆型糖蛋白、颌下粘蛋白型糖蛋白、膜糖蛋白及氨基多糖糖蛋白等几大类。
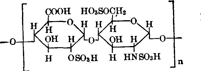
血浆型糖蛋白 血浆型糖蛋白种类很多、功能不一,但在结构上总是糖链还原性末端的N乙酰氨基葡萄糖的异头羟基与多肽链中天门冬氨酰胺残基的酰胺基缩合成一N糖苷键,使糖与多肽成为一体。


组成这类糖蛋白糖链的单糖,除N乙酰氨基葡萄糖外,还有甘露糖、半乳糖、唾液酸及岩藻糖等,但他们并非在这类糖蛋白的所有糖链中都有存在。人的运铁蛋白的糖链的结构已清楚,它不含岩藻糖。

人运铁蛋白分子结构


从运铁蛋白的糖链结构,可以看出末端为一唾液酸。许多种血浆型糖蛋白的糖链末端基本上均为唾液酸;运载糖蛋白的末端唾液酸是与其运载功能有关; 在去掉唾液酸后,即失去其运载作用。在血浆中,有运载功能的糖蛋白,除运铁蛋白外,还有运载维生素B12通过回肠壁的内因子,皮质素传递蛋白,与组胺结合的血浆凝合素、运输铜的血浆铜蓝蛋白、以及运载钙离子、孕酮、甲状腺素等的糖蛋白。
卵泡刺激素(FSH)、黄体生成激素(LH)、人绒毛膜促性腺激素(HCG)、促甲状腺激素(TSH)、促红细胞生成素等都属于糖蛋白类激素。前四者都是α与β二条多肽链组成; 其α链完全相同,只有β链各异,这表明β链是赋与不同激素性质的所在。这些糖蛋白激素的糖链末端多为唾液酸。去除激素的糖链即可消除其激素性质,甚至只去除其唾液,也可消除其激素性质。
凝血酶原是一种糖蛋白; 在其转变为凝血酶的过程中,糖链并未丧失。牛凝血酶已证明含有不少于7%的糖,其中有唾液酸、中性单糖、氨基葡萄糖及氨基半乳糖等。血浆中也存在酶的抑制剂,人血浆中的α1抗糜蛋白酶及α1抗胰蛋白酶都是含有唾液酸的糖蛋白,分别抑制糜蛋白酶及胰蛋白酶的活性,但在丧失其唾液酸后,即失去其抑制活性。
免疫球蛋白是血浆型糖蛋白中另一类生物学活性物质,一般称为抗体。抗体是与其特异抗原相结合而起作用的,用以与抗原结合之点是其氨基末端。糖链似与抗体的生物学活性无关,但对抗体受蛋白水解酶的作用方面似可起保护作用,另外在抗体的分泌上亦不无帮助。
血浆中还有一些生物学活性蛋白质,也是糖蛋白,如纤维蛋白原、抗血友病球蛋白、纤维蛋白溶解酶原、纤维蛋白溶解酶及α1酸性糖蛋白。α1酸性糖蛋白在人体有创伤、炎症、类风湿性关节炎或肿瘤时,它在血中的含量即增加。它在体内的功能,尚不清楚,但已发现,它在肿瘤细胞周围形成一凝胶层。糖含量很高,约为42%,其糖链末端多为一含有自由羧基的唾液酸。在体液的pH条件下,糖链末端的唾液酸可游离成为带阴电荷的离子;这就使肿瘤细胞具有排斥带阴电荷的抗体及致敏了的淋巴细胞。这样看来,α1酸性糖蛋白具有保护肿瘤细胞的作用。
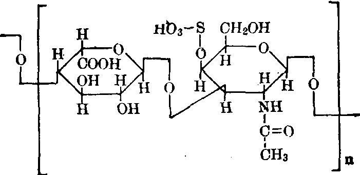
颌下粘蛋白型糖蛋白 颌下粘蛋白型糖蛋白的一个共同点是通过一个O糖苷键与多肽链部分相连。这个O糖苷键是由糖链还原性末端N乙酰氨基半乳糖的异头羟基与多肽链中丝氨酸或苏氨酸残基的脱水缩合而成。
若干种哺乳类动物颌下粘蛋白的糖含量相当高,约占其重量的60%。牛、羊颌下粘蛋白的糖链仅由唾液酸及N乙酰氨基半乳糖组成; 而人及猪的,除含这两种单糖之外,还有岩藻糖及半乳糖。一般,颌下粘蛋白含糖虽高,但其糖链并不太长,仅数目较多而已。例如,羊颌下粘蛋白只含有分子量为58 000的一条多肽链,其氨基酸残基中约有三分之一为丝氨酸及苏氨酸,而这两种氨基酸残基的每个羟基上都连接上一条糖链。这就不难看出,颌下粘蛋白含糖量高的由来。
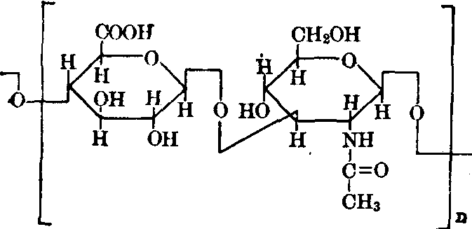
属于颌下粘蛋白型的糖蛋白,除颌下粘蛋白之外,还有许多种 分布在脊椎动物与外环境相接触的体腔被细胞表面,如消化道、呼吸道及生殖泌尿道等的内腔表面,甚至在鱼类身体的表面,也覆盖有一薄层这类糖蛋白。它们含有较多唾液酸,与水形成粘滞性的液体; 在去除
其唾液酸后,其粘滞性就大大降低。这些糖蛋白起着润滑及保护等作用。它们中有些具有血型物质的活性。人类血型物质也属于这类糖蛋白。现已知各种血型之间的差异,仅在于红细αN乙酰氨基半乳糖残
基(C3或C4上的羟基
可与其它单糖相连接)丝氨酸或
苏氨酸残

胞膜表面上。各种血型的红细胞膜表面都有糖蛋白及糖脂,其糖链的基本结构是相同的。近其自由 (即无还原性) 末端处也都有相同分枝,因此不会只有一个末端;其中的两个是主要的。O型血的糖链两个主要末端比A及B型的都少一个单糖; A型每个末端多的是一个N乙酰氨基半乳糖,B型多的则是一个半乳糖。A、B及O型血之间的差别就只此而已,图示如上。
A、B及O型血型物质的分子结构,虽然仅在其末端的微小差别,但在输血时,必须仔细配血,不然就会造成严重后果。
膜糖蛋白 这里所指的膜是细胞的质膜及细胞内的各种生物膜,如核膜、内质网、高尔基体、线粒体膜、溶酶体膜等。这些膜都或多或少含有糖蛋白。这些糖蛋白不仅是构成这些膜的组成部分,而且还各具特殊功能。
质膜,尤其是红细胞膜,较易制成纯品,其结构已略有所知。红细胞膜含有数种糖蛋白,其中一种是主要的。它的含糖量约占其重量的60%。质膜糖蛋白的多肽链约可分为两段或三段。分作两段者,其中一段在水中较易溶解,而另一段则较难溶。难溶的一段多由疏水氨基酸残基所组成,总是整合于质膜中,而易溶的一段则是接连糖链的处所,往往是绝大部分或全部暴露于质膜外侧之外,有亲水性,多数起着受体或抗原的作用。分作三段者,其多肽链必定贯穿质膜,而有亲水性的两端均有部分暴露于质膜两侧外面,但只有细胞膜外面一侧的肽链部分,才连接有糖链。
组成红细胞膜糖蛋白糖链的单糖主要是唾液酸及N乙酰氨基半乳糖,以及较少量的N乙酰氨基葡萄糖、半乳糖及甘露糖,有时还有微量的岩藻糖。由这些单糖构成的糖链至少有两种类型。一种糖链与多肽链之间的连接键是由糖链还原末端的N乙酰氨基半乳糖的异头羟基与多肽链中丝氨酸或苏氨酸残基的羟基脱水缩合成O糖苷键,而另一种的连接键则是N乙酰氨基葡萄糖的异头羟基与天门冬氨酰胺缩合成的N糖苷键。现举出一些例子以说明每一类型的部分结构。
红细胞膜糖蛋白中的糖链,借O糖苷键与多肽链相连者要比借N糖苷键者多许多,而且这两类糖链极可能都存在于一条多肽链上。
细胞内的各种膜都含有糖蛋白,其含量虽不若质膜中的高,但确实是它们的固定组成部分。溶酶体膜含糖蛋白较多,这是由于膜的大部是来自质膜,故其糖的组成与质膜的相似,含有半乳糖、甘露糖、N乙酰氨基葡萄糖、N乙酰氨基半乳糖及唾液酸等,而且其含量几乎与

质膜的相近。溶酶体膜中糖蛋白的绝大部分无疑是质膜的,但其糖链全部是在膜的内侧,这与溶酶体的形成有关,所以在完整的溶酶体表面并不能找到唾液酸。溶酶体中的许多酶都是糖蛋白,如芳基硫酸酯酶A及B、酸性磷酸酶、βN乙酰氨基己糖酶,β半乳糖酶及β葡萄糖醛酸酶等,而且是结合在溶酶体膜上的,其中有的是整合在膜中,也有的是以静电相吸而与膜结合在一起。所以溶酶体膜的糖蛋白不仅是膜的组成成分,而且有些还具有酶的活性。
线粒体含有的糖蛋白,为量不多,以结合的形式分布于外膜及内膜上,也以溶解的状态存在于内膜间及内外膜间的基质中。在外膜外侧的糖蛋白是由甘露糖、半乳糖、N乙酰氨基葡萄糖及唾液酸组成; N乙酰氨基半乳糖及岩藻糖可能也是其较小量的组成成分。
核膜与线粒体膜相似,也是由内外两层膜构成,均含有少量糖蛋白。核膜中的糖蛋白至少有两种,均由半乳糖、甘露糖、岩藻糖、N乙酰氨基葡萄糖及唾液酸组成。由于分布不同,糖蛋白的结构也不一样,因而有不同的功能。从其组成成分中有N乙酰氨基葡萄糖的存在,不难推测其糖链与多肽链之间的连接键是一N糖苷键。
内质网及高尔基体都是细胞内一些重要生物膜,均含有少量糖蛋白,作为其固定的组成成分。但对这些生物膜的糖蛋白研究尚少。
氨基多糖 氨基多糖主要是结缔组织中细胞间基质的重要成分,曾被称为粘多糖,因含氨基己糖多,故现命名为氨基多糖。分子中的氨基己糖总是与另一单糖缩成为一个双糖单位; 许多个双糖单位经多次重复聚合而形成长的多糖直链。在体内,许多条氨基多糖链以配价键连接在一条多肽链上,形成一种糖蛋白; 因其蛋白质含量远比其糖含量为少,故又可称为蛋白多糖。构成蛋白多糖的氨基多糖有透明质酸、软骨质及硫酸软骨质、硫酸肤质、硫酸角质、肝素及硫酸乙酰肝素。
透明质酸 透明质酸是体内多种组织,尤其是皮肤、结缔组织等的细胞间物质中的一种氨基多糖,曾从玻璃体液、脐带、滑液等提取,主要起着润滑粘合等作用。它是一种杂多糖,由D葡萄糖醛酸借β1.3糖苷键与N乙酰D氨基葡萄糖缩合成双糖单位,然后再借β1.4糖苷键将许多个双糖单位连接成长的直链,其分子量约在105至107之间,在体内与蛋白质结合,故是一种蛋白多糖,但制备所得的透明质酸含蛋白质甚少,不超过1~2%。在一些组织,如软骨中,透明质酸与硫酸软骨质及硫酸角质形成的蛋白多糖聚集体乃是组织结构上的重要组成。
透明质酸的双糖单位
软骨质及硫酸软骨质 软骨质类物质是广泛存在于软骨及结缔组织中的氨基多糖,多数为硫酸酯。从角膜中提出的几不含硫酸根,其结构与透明质酸的相似,仅其重复双糖单位中的N乙酰D氨基葡萄糖为N乙酰D氨基半乳糖所代替。软骨质的硫酸脂有4硫酸软骨质 (即硫酸软骨质A)及6硫酸软骨质(即硫酸软骨质C)两种;其分子量约在1~6×104之间; 由它们形成的蛋白多糖是蛋白多聚集体的一种组成成分。
硫酸肤质 硫酸肤质(即硫酸软骨质B)与4硫酸软骨质不同之处,在于其重复双糖单位中的葡萄糖醛酸为艾杜糖醛酸所代替,但也有极少数未被代替者。皮肤、腱、韧带、动脉、角膜、软骨、骨等中都有其存在。

硫酸肤质的双糖单位


硫酸角质 存在于不同组织中的硫酸角质,稍有不同,可分为硫酸角质Ⅰ(角膜中的)及硫酸角质Ⅱ(软骨中的)两种,但其双糖重复单位均由D半乳糖藉β1.4糖苷键与N乙酰D氨基葡萄糖结合而成。其不同之处为糖链的长短及多少不一,以及与多肽链的连接键及连接点均不同。由硫酸角质构成的蛋白多糖也是蛋白多糖聚集体的组成成分。
肝素及硫酸乙酰肝素 肝素虽然在许多细胞的表面发现,但实际是肥大细胞或嗜碱粒细胞内的一种氨基多糖,其双糖重复单位有如下的基本结构:
双糖单位中6硫酸N磺酰氨基葡萄糖的磺酰基有时为乙酰基所代替。硫酸乙酰肝素的双糖单位与肝素类似,只是含N乙酰基较多及硫酸酯较少,以及少数葡萄糖醛酸为艾杜糖醛酸所取代。肝素在体内具有抗凝血作用。


硫酸乙酰肝素也具有抗凝血作用,但不及肝素强。
肽多糖 肽多糖又称胞壁质,是细菌细胞壁内层的一种组成成分,由一个双糖与一个四肽为单位,多次重复聚合而成。肽多糖的重复单位(图3)是由N乙酰D氨基葡萄糖(NAG)与N乙酰胞壁酸(NAMA)通过β1,4糖苷链连结而成的双糖; 而N乙酰胞壁酸乃是N乙酰氨基葡萄糖的C-3羟基与乳酸的α羟基脱水缩合而成的产物。在每一个胞壁酸残基上都接上由L丙氨酸、D异谷氨酰胺、L赖氨酸及D丙氨酸构成的四肽,其连接键为胞壁酸分子中乳酸残基的羧基与L丙氨酸的氨基形成的肽键。带有四肽的双糖再借β1,4糖苷键多次重复聚合而形成多糖长链。不仅如此,已有大量证据表明,在相邻平行的多糖链之间还互有交联。一条多糖链中四肽末端D丙氨酸的羧基与一个由五个甘氨酸残基形的五肽相接,同时此五肽又与另一相邻的多糖链上四肽中赖氨酸残基的α氨基相接; 这样就形成了肽多糖中的交联。各种细菌中肽多糖只有微小差别,而且几乎都在其四肽中。


在相邻的多糖骨架上的四肽与甘氨酸五肽


之间交联示意图

☚ 多糖   糖的分解代谢 ☛

糖蛋白

glycoprotein

随便看

 

离鸟网收录3541549条中英文词条,其功能与新华字典、现代汉语词典、牛津高阶英汉词典等各类中英文词典类似,基本涵盖了全部常用中英文字词句的读音、释义及用法,是语言学习和写作的有利工具。

 

Copyright © 2004-2024 vtrois.com All Rights Reserved
更新时间:2026/4/18 22:18:29