网站首页  词典首页


请输入您要查询的字词:

 

字词 糖苷
类别 中英文字词句释义及详细解析
释义

糖苷tánɡɡān

有机化合物,是糖类中最重要的衍生物。广泛存在于植物体中,一般为白色结晶。旧称甙(dài)。

糖苷táng gān

甙。1939年Teh-Ching Leo, Cousland's English-Chinese Medical Lexicon·凡例:“糖苷类等之语尾‘-in’为一种简便之区别。”

糖苷glycoside

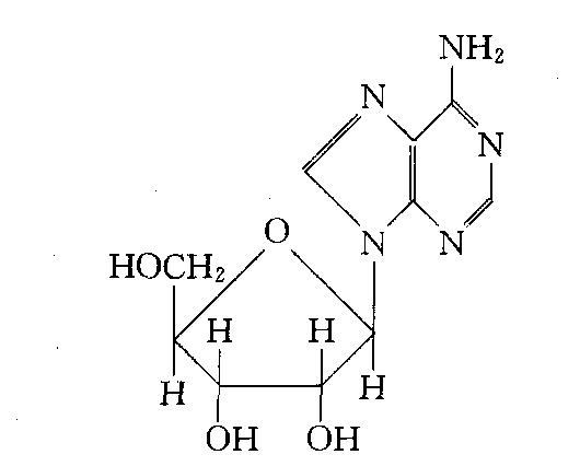
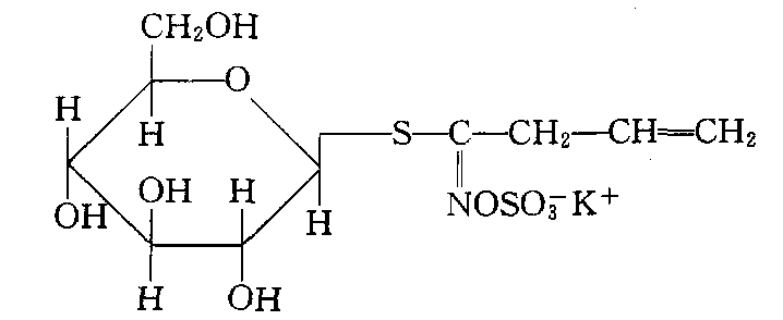
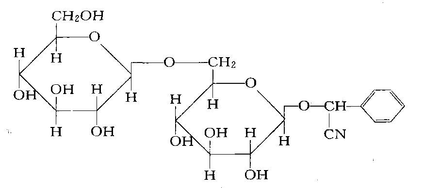
又称配糖体、配糖物。糖的半缩醛羟基与非糖物的羟基、氨基或硫氢基去水缩合而成的缩醛衍生物。糖部分称为糖基,非糖部分称为配基。按糖基异头碳原子构型,分为α-糖苷和β-糖苷;根据糖基与配基之间连结原子的不同,分为O-糖苷、N-糖苷、S-糖苷和C-糖苷。几种具有代表性的糖苷结构如下。一般为无色、无臭、味苦,大多溶于水、乙醇、丙酮或其他有机溶剂,具左旋性,无还原性,可被酸或酶水解。是糖在自然界中存在的一种形式,种类多,分布广,尤其在植物界更多。如花和果实中的花色苷,对人、畜有毒的生氰糖苷,作为核苷酸和核酸组成分的核苷。为某些中草药的有效成分,具有重要的生理功能,在医药和工业上有很大的实用价值。

苦杏仁苷

腺苷

黑芥子苷

糖苷

糖苷tanggan

又名配糖体,旧称甙。糖类化合物的半缩醛羟基或半缩酮羟基 (亦称苷羟基),与醇、酚、硫醇、胺等缩合而成的化合物。糖苷分子中,提供苷羟基的部分叫糖苷基,另一部分叫配糖基(见下图)。


在β-D-葡萄糖甲苷分子中,β-D-葡萄糖部分为糖苷基,甲基为配糖基。
糖类与醇、酚形成的苷属缩醛或缩酮类物质。在碱性和中性介质下稳定,在酸性介质下水解得到原来的糖和醇或酚。糖苷不能发生银镜反应,不与苯肼作用形成脎,也没有变旋现象。
在低聚糖、多糖分子中,单糖单元之间以糖苷键相连接,可以说,低聚糖和多糖是苷。
☚ 脱氧核糖   还原糖 ☛

糖苷

又称“糖甙”、“配糖物”。由糖分子(如葡萄糖)中的环状半缩醛羟基上的氢被烷基或芳香基取代的一类化合物。糖苷分子中,糖的部分叫糖基,非糖部分叫配基。连接两者的键叫苷键。根据苷键不同,糖苷可分含氧糖苷,含氮糖苷和含硫糖苷等。

随便看

 

离鸟网收录3541549条中英文词条,其功能与新华字典、现代汉语词典、牛津高阶英汉词典等各类中英文词典类似,基本涵盖了全部常用中英文字词句的读音、释义及用法,是语言学习和写作的有利工具。

 

Copyright © 2004-2024 vtrois.com All Rights Reserved
更新时间:2026/4/19 18:24:55