网站首页  词典首页


请输入您要查询的字词:

 

字词 糖类
类别 中英文字词句释义及详细解析
释义

糖类sugars

多羟基醛或多羟基酮及其缩合物和某些衍生物的总称。绝大多数糖类的实验分子式可用Cn(H2O)n表示,故又有碳水化合物之称。糖是广泛存在于生物体内的一类重要有机化合物。按其分子大小,可分为单糖、低聚糖和多糖三类。
单糖 为多羟基醛或酮,不能进一步水解成更简单的糖。已知天然单糖有100种以上,它们或以游离态存在(特别是D-葡萄糖和D-果糖),或作为低聚糖和多糖的基本单位以结合态存在。许多单糖在代谢过程中起决定作用,并且是代谢的重要中间产物 (以糖的磷酸酯形式)。
结构 根据单糖分子中所含碳原子数目分为丙糖、丁糖、戊糖、己糖等。含醛基的单糖称为醛糖; 含酮基的单糖称为酮糖。其通式为:


单糖的构型都是由甘油醛和二羟丙酮派生的。糖的构型有D-构型与L-构型之分。凡分子中靠近伯醇基(CH2OH)的仲醇基(CHOH)中的羟基在分子的右方者,称D-糖。在左方者则称L-糖。所以又有D-醛糖和L-醛糖,D-酮糖和L-酮糖之分。该基团上的碳原子叫不对称碳原子。近年来,化学家提出一种顺序法则,用R(Rectus)代替D,S(Sinister)代替L。


在单糖中,不对称碳原子数的增加,会使其光学异构物数目增加。范特霍夫(Vant Hoff)最早提出光学异构体的可能数目为2n(n为不对称碳原子数)。根据这种方法,D-甘油醛可衍生出2个D-丁糖、4个D-戊糖、8个D-己糖的异构体。同理,L-甘油醛亦可能衍生出同样数目的L-型单糖、D-型与L-型的单糖,互为对映体。单糖在结构上除有链状结构外,尚有环状结构,如:


由于环式第一碳原子是不对称碳原子,因而与其相连的H和OH基的位置可能有两种排列方式(即OH基在左边或右边),从而有两种构型。决定α-、β-型的依据和决定一个糖的D-、L-构型的依据相同,是以糖分子上的半缩醛羟基(即C1上的OH)和糖分子末端-CH2OH基邻近碳原子的OH基的位置而定。若同侧的称α-型,异侧的称β-型。


上述环式为费雪(Eischer)所定。为了更准确地反映糖分子的主体构型,哈尔斯(Haworth)提出另一种糖类的环状结构的书写方式,即将吡喃糖式写成六角平面形,呋喃糖式写成五角平面形:


70年代中期x-射线研究证明,吡喃型半缩醛环具有稳定的椅式构象。


α-D-(+)-吡喃葡萄糖 β-D-(+)-吡喃葡萄糖在所有的D-己醛糖中,只有这—种化合物具有这样的构象。
一切单糖都含不对称的碳原子,因此具有旋转偏振光面的能力,即旋光性。使偏振光面左旋者称为左旋糖,以”-”号表示之。使偏振光面右旋者称为右旋糖,以“+”号表示之。D-葡萄糖、D-半乳糖、D-甘露糖、D-木糖和L-阿拉伯糖为右旋糖;D-果糖、D-核糖和D-阿拉伯糖为左旋糖。
反应 由于单糖的结构为多羟基醛和多羟基酮,因此,其化学性质具醇羟基和羰基的性质。单糖与酸作用时可生成酯。重要的糖酯是磷酸酯。糖分子上的还原性基团(半缩醛羟基)与其他含有羟基的物质缩合而成的化合物称糖苷,又称苷或配糖物。重要的糖苷有核苷、脱氧核苷、以及多种由葡萄糖形成的苷(如苦杏仁苷)。单糖与强酸共热,脱水产生糠醛及其衍生物。利用这一性质可以鉴定糖的存在。如α-萘酚与糠醛或羟甲基糠醛作用呈紫色(莫利西试验),间苯二酚与盐酸遇酮糖呈红色,遇醛糖呈很浅颜色,利用这一特性可鉴别酮糖与醛糖(西利万诺夫试验)。单糖含有自由的醛基或酮基,在不同的氧化条件下,可被氧化成不同的产物。如与弱氧化剂(硫酸铜的酒石酸钾钠碱性溶液)作用,则单糖被氧化,而氧化铜被还原成氧化亚铜。测定氧化亚铜的生成量,即可知糖的含量(本尼狄克特氏反应;菲林氏反应)。此外,醛糖与溴水(pH6.0)作用可氧化成糖酸;醛糖与稀硝酸作用可氧化成糖二酸。在还原剂(钠汞齐或硼氢化钠)的作用下单糖可还原成糖醇。
低聚糖 是由2~10分子单糖以α-或β-糖苷键连结而成的化合物,按其亚单位数可分为双糖、三糖、四糖等。在酸或酶的作用下,低聚糖能水解成相应的亚单位。低聚糖以游离态或结合态广泛存在于生物体内,其中尤以双糖特别重要。双糖按其糖苷键的性质可分为海藻糖型和麦芽糖型两类。在海藻糖型中,由于两分子单糖在失水缩合时醛基与酮基完全丧失,不能进入典型的糖反应,如还原作用、腙和肟的形成或变旋作用。蔗糖和海藻糖是这类双糖的代表。在麦芽糖型中,由于缩合时尚存有一个自由醛基,因此有还原性和变旋性,并能形成腙和肟。麦芽糖、纤维二糖、龙胆二糖和密二糖是这类双糖的代表。其他低聚糖如鼠李糖、龙胆三糖和松三糖等属于三糖,水苏糖为四糖,毛蕊糖为五糖。


蔗糖(1-α-D吡喃葡萄糖-β-D-呋喃果糖苷)


麦芽糖(α-D-葡萄糖(1,4)D-吡喃葡萄糖苷)


多糖 由10个或10个以上单糖分子以α-或β-糖苷键结合而成的分支或不分支化合物。其分子链可以是直线排列、螺旋排列或球形排列。多糖的通常组分是D-葡萄糖、D-果糖、D-半乳糖、D-甘露糖(以上属己糖),D-阿拉伯糖、D-木糖(以上属戊糖)以及葡糖胺(属氨基糖)。多糖作为贮藏物质和骨架结构广泛存在于生物体内,前者如淀粉、糖原和菊糖等,后者如纤维素、半纤维素和甲壳质等。淀粉是植物体内最重要的贮存多糖,按其结构分为直链淀粉和支链淀粉两种。直链淀粉是由D-葡萄糖的α-1,4糖苷键所组成的直链螺旋分子; 支链淀粉则是由D-葡萄糖以α-1,4和α-1,6糖苷键连结而成的具支链分子。直链淀粉分子中含几千个葡萄糖残基; 支链淀粉分子中的葡萄糖残基数可从几千到几万个。糖原是动物体的储备糖,所以又称动物淀粉。其结构与支链淀粉相似,但分枝更多,其中葡萄糖残基的大部分是以α-1,4糖苷键连结,分枝点是以α-1,6糖苷键结合。菊糖是由D-呋喃果糖以β-2,1连结而成的多糖,分子中的果糖残基数通常不超过35个。纤维素是植物细胞壁的主要结构物质,是由1 000个以上的D-葡萄糖以β-1,4结合而成的直链化合物。半纤维素则是由多种单糖聚合而成的多糖,常见的半纤维素有木聚糖、葡萄糖甘露聚糖和阿拉伯半乳聚糖三类。多糖在酸或酶的作用下可以水解成相应的亚单位。淀粉水解时,随水解程度的不同可得到糊精、麦芽糖和葡萄糖等不同产物。糖原的水解与淀粉相似。纤维素水解可得到葡萄糖或纤维二糖。


直链淀粉结构


支链淀粉结构

糖类

糖类

又称碳水化合物,是由碳、氢、氧三种元素组成的。人体内的糖类,主要为两种糖,即葡萄糖和糖元。人们吃下去的糖类食物,不论是淀粉、蔗糖、麦芽糖,经过消化,最后都分解为简单的糖(如葡萄糖等),而被小肠吸收入血液。血液中的葡萄糖又称为血糖。血糖由血液运送给各组织,供细胞利用,是人体生命活动的主要燃料。葡萄糖在人体内的生物氧化中,产生二氧化碳和水,并放出能量供组织细胞利用,血糖增高时,葡萄糖可以转变为糖元贮存起来,例如肝糖元和肌糖元。而血糖降低时,糖元又可分解为葡萄糖成为血糖。

☚ 器官和系统   人体内主要化学物质的含量 ☛

糖类saccharide

多羟基醛或多羟基酮及其缩聚物和衍生物的总称。分单糖、寡糖(低聚糖)和多糖三大类。如葡萄糖、果糖、蔗糖、乳糖、淀粉、纤维素、果胶、糖原、葡萄糖胺和半乳糖醛酸。在生物界分布极广,含量较多。约占植物体干重的80%,动物器官组织干重的2%,微生物菌体干重的10 %~30%。作为细胞的贮藏物质或结构物质,为生命活动提供能量,为其它有机物合成提供碳素,或构成细胞壁,维持细胞的形态结构。与蛋白质或脂类共价连接而成的复合物(糖蛋白、蛋白聚糖、糖脂和脂多糖)称为复合糖,是目前糖类研究的重要方面。如糖蛋白,分布广,种类多,具有细胞识别、凝集、免疫、运输、酶、激素、营养和结构等生物功能。糖类也是粮食、棉花、麻类、糖料和木材等农林产品的主要成分。

糖类

多羟醛或多羟酮及其聚合物和某些衍生物的总称。分子式为Cn(H2O)n,又称碳水化合物。分单糖、低聚糖和多糖3类。现已知单糖100多种。低聚糖由2~10单糖分子以α-或β-糖苷键联结而成。多糖由10个或10个以上单糖分子以α-或β-糖苷键结合而成。

糖类

糖类tanglei

是多羟基醛,酮或水解时产生这类化合物的物质,是自然界分布广泛、数量最多的有机化合物。多数糖类的碳、氢、氧之比是1:2:1,可写成通式(CH2O)n,如葡萄糖为C6H12O6,故也叫做碳水化合物。虽然有些糖类的结构并不符合这个通式,如脱氧核糖为C5H10O4,而且有些糖除含有碳、氢、氧外,还含有氮、磷或硫元素。人类、大多数动物以及许多微生物所摄入总能量的主要部分是糖类。糖类也是利用太阳能由二氧化碳和水合成糖的绿色植物和其他光合生物的代谢中心。通过光合作用所产生的大量淀粉和其他糖,是动植物和微生物非光合细胞的最终能源和碳源。糖类的其他的重要生物功能还有:淀粉和糖原是葡萄糖的贮藏形式;不溶的多糖是植物和微生物细胞壁以及动物结缔组织和外壳的支撑物,其他糖类还有滑润骨关节、防止细胞间的粘着,以及赋于动物细胞表面以生物专一性等作用。按照组成糖单位的多寡,将糖类化合物分成单糖、寡糖(又称低聚糖,游离的寡糖主要是二糖)和多糖(聚糖)。单糖只含1个糖单位,寡糖与多糖没有严格的界限,一般把含有2~20个单糖单位的糖类称作寡糖。

☚ 蛋白质代谢   单糖 ☛

糖类

自然界存在的一大类有机化合物。经绿色植物光合作用而形成,主要含有碳、氢、氧3种元素,其分子通式常以Cn(H2O)n表示。参见“碳水化合物”。

糖类carbohydrate

亦称碳水化合物。为多羟醛或多羟酮的衍生物,是生物合成的主要有机化合物之一。根据其分子结构可分为单糖、二糖、寡糖和多糖等。

糖类

糖类

糖类是一大类有机化合物,广泛存在于动植物体内。常见的有淀粉、蔗糖、乳糖及葡萄糖等。在生物体内,有的糖类是结构成分,有的是贮存能量的物质。纤维素及肽多糖分别是植物及细菌细胞壁的结构成分,植物细胞内的淀粉,动物组织内的糖原,均为贮存能量的物质。
在化学结构上,糖类是多羟醛或多羟酮,或者水解后生成多羟醛或多羟酮。许多糖类分子的经验式是Cx (H2O)y,例如,葡萄糖C6H12O6,可写成C6(H2O)6; 蔗糖C12H22O11,可写成C12(H2O)11; 以前称糖类为碳水化合物,是由此经验式而来的。后来发现这个定义不准确,因为有些具有糖的一般性质的化合物,其元素组成除了碳、氢、氧以外,还有氮或硫; 亦有一些化合物的元素组成中碳与氢氧的关系虽然符合上述的经验式,例如乳酸的分子式CH3CHOHCOOH,可写成C3(H2O)3,但却不具有糖的性质; 又如脱氧核糖,是细胞内脱氧核糖核酸的成分,但其分子式为C5H10O4,而不是C5H10O5,更不是由碳和水化合而成,所以碳水化合物一词,现在已不用。
糖类一般分为三大类: 单糖、寡糖及多糖。单糖最简单,在通常条件下不能水解产生更小的单位。符合上述糖定义的最简单的单糖是甘油醛和二羟丙酮,前者含有醛基,是醛糖,后者含有酮基,是酮糖,两者互为异构体。这两种糖各含有三个碳原子,均为三碳糖 (亦称丙糖)。
(1) 单糖: 是按含碳原子数目的多少分类的,其中含五个碳原子的戊糖及含六个碳原子的己糖在自然界中较为常见。戊糖中较常见的有核糖、脱氧核糖、阿拉伯糖、木糖等。常见的己糖有葡萄糖、果糖、半乳糖及甘露糖等。单糖的种类甚多,有带氨基的,如氨基葡萄糖、氨基半乳糖及氨基甘露糖等; 还有酸性的单糖,如葡萄糖醛酸及含硫酸根的单糖等。
(2) 寡糖:是由两个到十个单糖分子构成的聚合物,可以水解生成单糖。双糖就是寡糖的一种,由两个单糖分子通过糖苷键连结而成,例如蔗糖是由一分子葡萄糖和一分子果糖构成。大多数单糖及寡糖可成结晶,能溶于水,有甜味。
(3) 多糖:是由许多个单糖分子构成的缩合物,呈直链或枝链结构。如果多糖是由一种单糖通过糖苷键连结而成者,称为“同多糖”; 如果多糖是由两种或两种以上的单糖构成的,称为“杂多糖”。多糖通常是无味的,分子量高,多不溶于水。
人类膳食中的淀粉、乳糖及蔗糖等糖类在消化道被分解成的单糖,在小肠下段被吸收,经门静脉运送到肝脏,有些在肝脏合成为糖原贮存起来,有些转变为其他化合物,还有一部分葡萄糖经过肝脏,随血液运送到其他组织,合成为糖原或分解为丙酮酸,再转变为乙酰辅酶A,可合成为脂肪或其它化合物,而主要是氧化为二氧化碳及水,同时释出能量,供机体用以完成各种生理活动。
糖类是体内效率高且快的廉价能量来源。据吴宪在解放前的调查,我国一般人的膳食中,糖类所提供的能量约为总能量的75%以上,而欧美国家正常成人近代膳食中的糖类也要供给总能量的50%。为了避免酮症和酸中毒的发生,每日总能量的20%应由糖类供给。严重糖尿病人体内出现酮症和酸中毒,就是由于体内不能利用糖的缘故。然而,爱斯基摩人的膳食所含糖类物质只能供给总能量的8.5%; 这当然是一个较特殊的例子,但同时也表明人体有一定适应环境的能力。
糖类还有节省蛋白质及脂肪在体内被消耗的功能。当体内有糖类贮存时,身体首先利用糖类,以供给能量;但在缺糖类时,则必须动用脂肪和蛋白质; 可见供给糖类可以节省脂肪及蛋白质的消耗。

☚ 嘌呤核苷酸循环   单糖 ☛

糖类

糖类

糖类是含醛基或酮基的多羟基化合物和它们的缩聚产物以及某些衍生物的总称,糖类含碳、氢、氧三种元素,某些衍生物也含硫及氮。糖类是构成原生质的重要成分之一,是生命活动的主要能源物质,也是构成组织和细胞的结构成分。根据糖类的水解产物,可分为单糖、双糖和多糖等类别。单糖是糖类中不能进行水解的最小单位。生物体中最常见的单糖为葡萄糖。它是吸收、运输和参与物质代谢的基本形式。也是构成双糖和多糖的单体。多糖则是糖类的储存形式。如动物的糖原,植物的淀粉。它们与单糖之间可以相互转换。
单糖 为多羟基酮或多羟基醛,其骨架含3—7个碳原子,不分支。根据碳原子的数目分别称为丙糖(三碳)、丁糖(四碳)、戊糖(五碳)、己糖(六碳)、庚糖(七碳)。甘油醛和二羟丙酮为生物体内丙糖的代表,它们是糖代谢的中间产物。分子式为C3H6O3,两者为同分异构体。

生物体内最常见的戊糖为核糖和脱氧核糖,它们为构成核酸的基本成分。
己糖是机体内最常见的单糖,主要有三种: 葡萄糖、果糖和半乳糖,它们的共同分子式为C6H12O6(图1)。
第一碳原子为羰基的己糖称醛糖,羰基位于中间碳原子者称酮糖。葡萄糖和半乳糖为醛糖、果糖为酮糖。己糖分子中含四个不对称碳原子 (2,3,4,5位碳原子)。可产生多种异构体,习惯上按照距羰基最远的碳原子的羟基排列位置分为两种类型,羟基位于左侧者称L-型,羟基位于右侧者称D-型。生物系统中的葡萄糖均为D-型。


图1 常见三种己糖的结构式,左侧表示碳原子序号


单糖在细胞内多数以环状形式存在,少数为直线分子。因分子内部羰基为最活泼基团,又因各碳原子之间的不同键角使各基团相互接近,发生作用,形成环状结构。葡萄糖分子的羰基与第五碳原子的羟基连接成1,5-氧桥型的六员环。其结构与吡喃相似,又称吡喃糖,如葡萄糖和半乳糖的环形分子。羰基还可与第四碳原子间形成1,4-氧桥型的五员环,其结构与呋喃相似,又称为呋喃糖,如果糖的环形分子(图2)。戊糖(核糖及脱氧核糖)亦以五员环结构存在(图3)。


图2 单糖的环形结构

由于吡喃糖的形成,第一碳原子获得不对称性,增加了异构体的类型。第一碳原子的羟基位于分子平面以下者称α-型,位于分子平面以上者称β-型(图4)。实际上六个碳原子并不在同一平面上,因此表现为特殊的三维空间形状,称构象。葡萄糖分子在天然状态下α-型和β-型都以比较稳定的椅式构象(图5)存在。


图3 戊糖


葡萄糖是机体活动中氧化供能的直接燃料,又是糖原、淀粉等多糖的基本组成单位。体内其他单糖多为葡萄糖的衍生物。因此,葡萄糖在代谢中颇为重要,人体一般每100ml血液约含葡萄糖90—120mg,为生命活动提供重要能源。
单糖的衍生物 糖苷为单糖的衍生物之一,它们由吡喃糖碳原子的羟基与醇发生反应形成糖苷键,例如与甲醇生成甲基-α-糖苷或甲基-β-糖苷。与其他单糖的羟基作用也形成糖苷键。双糖、多糖即通过此种方式产生。


图4 糖的α-型与β-型


图5 葡萄糖的椅式构象


醛糖和酮糖在适宜条件下与胺发生反应,产生N-糖基胺,也称N-糖苷。核苷酸的组分——核苷即由D-核糖或D-脱氧核糖分子中的第一碳原子与嘧啶碱中的N发生反应,形成N-糖基胺键而产生的。(见“核酸”条)。
己糖和戊糖与磷酸形成的磷酸酯,为生化反应中的活跃分子,如葡萄糖-1-磷酸是代谢中经常出现的中间产物。葡萄糖第六碳原子上的羟基氧化形成羧基,即为葡萄糖醛酸。它是体内粘多糖的重要组分。维生素C也是极重要的六碳糖酸之一,为机体中不可缺少的营养物质。
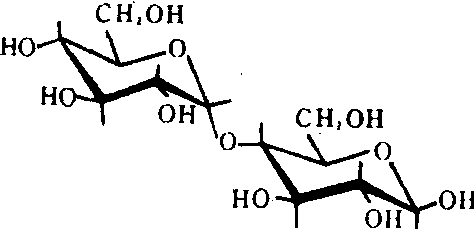
双糖 由两分子单糖脱一分子水缩合而成,连接两单糖分子的键为糖苷键。麦芽糖含两分子葡萄糖,蔗糖含一分子α-D-葡萄糖和一分子β-D-果糖,乳糖含一分子β-D-半乳糖和一分子β-D-葡萄糖,它们的共同分子式为C12H22O11(图6)。双糖水解产生两分子单糖。机体中双糖多为营养的储存形式和代谢的中间产物。


图6 双糖


多糖 为大量单糖彼此以糖苷键连接而成的长链,分子式为(C6H10O5)n。根据功能可分为两大类:结构多糖和储存多糖(或营养多糖)。结构多糖可作为细胞的结构组分和在细胞间起支持作用。例如构成植物细胞壁的纤维素、酵母细胞壁的甘露聚糖、节肢动物外壳中的几丁质,腱、软骨和骨中的软骨素和滑膜液中的透明质酸等均属此类。营养多糖主要作为单糖的贮存和转换的形式。在化学组成上多糖可分为同聚多糖和杂多糖两类。同聚多糖指构成多糖的组分相同,如淀粉、糖原、纤维素的组成单位均为葡萄糖,而杂多糖则含几种不同成分,如透明质酸和硫酸软骨素等多含单糖的衍生物。
纤维素是植物细胞壁含量最多的多糖成分,具支持作用。纤维素为葡萄糖分子借助于1,4糖苷键连接的单糖聚合物,可包括几百、几千甚至几万葡萄糖单位(图7)。


图7 纤维分子片段


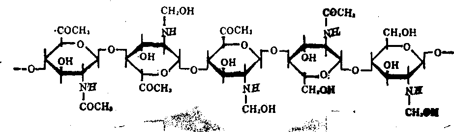
几丁质 为大量被覆于节肢动物体表的细胞外结构多糖。在海绵、软体动物和环节动物中也有少量存在。此种多糖为不分支的乙酰氨基葡萄糖多聚体。分子中可含几千个乙酰氨基葡萄糖单体(图8)。


图8 几丁质分子结构


透明质酸亦为不分支的杂多糖,由包括N-乙酰氨基葡萄糖和葡萄糖醛酸的双糖聚合而成。每双糖分子内葡萄糖醛酸与乙酰氨基葡萄糖之间以1,3糖苷键相连,双糖分子间以1,4糖苷键相连。透明质酸在关节滑膜液、眼球玻璃体和皮下组织基质中存在,有滑润及填充作用。
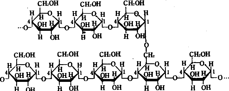
淀粉是存在于植物细胞和某些微生物中的储存多糖,在植物细胞中以可见的颗粒形式存在。淀粉粒为直链淀粉和支链淀粉的混合物。直链淀粉的成分为由α-1,4糖苷键连接的葡萄糖多聚体,约含250—500个葡萄糖单体。分子呈螺旋形(图9)。支链淀粉是由α-1,4糖苷键和α-1,6糖苷键连成的分支状多聚体,约含1000个葡萄糖单体。长链由α-1,4糖苷键相连,分支点由α-1,6糖苷键连接(图10、11)。淀粉水解可产生低聚糖(糊精)、双糖(麦芽糖)和单糖(葡萄糖)。淀粉为植物细胞中储存多糖的重要形式,也是人类食物的重要来源。


图9 直链淀粉及其螺旋圈



图10 支链淀粉中葡萄糖α-1,6-糖苷键


图11 淀粉分子示意图


糖原为动物细胞的储存多糖,其结构与支链淀粉相似,也由α-1,4和α-1,6糖苷键连接大量葡萄糖单体而成,分子更大,约含5000个葡萄糖分子(图12)。其分支密度也比支链淀粉更大,约每8—12个葡萄糖残基即出现分支。几乎所有动物细胞都含糖原,人体肝脏和肌肉组织中储存的糖原常分别称为肝糖原和肌糖原,在细胞需要耗用能量时,在酶的参与下糖原分解,以不同的方式提供能量。


图12 糖原支链分子的结构示意图

☚ 无机盐   蛋白质 ☛
00014395
随便看

 

离鸟网收录3541549条中英文词条,其功能与新华字典、现代汉语词典、牛津高阶英汉词典等各类中英文词典类似,基本涵盖了全部常用中英文字词句的读音、释义及用法,是语言学习和写作的有利工具。

 

Copyright © 2004-2024 vtrois.com All Rights Reserved
更新时间:2026/4/20 3:40:17