网站首页  词典首页


请输入您要查询的字词:

 

字词 糖有氧氧化
类别 中英文字词句释义及详细解析
释义

糖有氧氧化aerobic oxidation

系糖在供氧充足的条件下,分解代谢生成水及二氧化碳的过程。糖在细胞液内经过酵解生成丙酮酸,丙酮酸进入线粒体内氧化成乙酰辅酶A,再参与三羧酸循环,最终生成水及二氧化碳。胞液及线粒体内大量的酶及辅助因子参与糖的有氧氧化过程。1克分子葡萄糖经有氧氧化生成36~38克分子ATP,所以糖有氧氧化的主要功能是氧化供能。此外,糖的其他代谢途径与糖有氧氧化途径密切相关,蛋白质及脂类也可通过此途径与糖类互相转换。

糖有氧氧化

糖有氧氧化

在氧供应充足的正常条件下,葡萄糖或糖原彻底氧化为二氧化碳和水的过程,称为糖的有氧氧化。糖的有氧氧化与无氧分解在生成丙酮酸以前的反应步骤是相同的,只是在生成丙酮酸以后才不相同。在糖酵解途径中,丙酮酸接受NADH的2H,还原为乳酸,而在有氧氧化时,丙酮酸在丙酮酸脱氢酶系统的催化下,氧化脱羧生成乙酰CoA,进入三羧酸循环,氧化成CO2及H2O。每一分子葡萄糖通过糖酵解途径只能产生二分子ATP,而通过有氧氧化途径则产生38分子ATP,因此,糖的有氧氧化是体内糖分解氧化产能的主要途径。
糖有氧氧化的总反应为:

C6H12O6+6O2—→6H2O+6CO2+36ATP


糖有氧氧化的过程 糖的有氧氧化从葡萄糖降解生成丙酮酸以前的反应步骤与糖酵解相同,因为此时机体有充足的氧供应,故在3磷酸甘油醛氧化生成1,3二磷酸甘油酸时生成的NADH,可以通过呼吸链的传递,把2H交给O2生成H2O,而再氧化为NAD+,所以没有乳酸产生。但丙酮酸要进入三羧酸循环,必须先氧化脱羧生成乙酰CoA。这是丙酮酸彻底氧化的第一步。
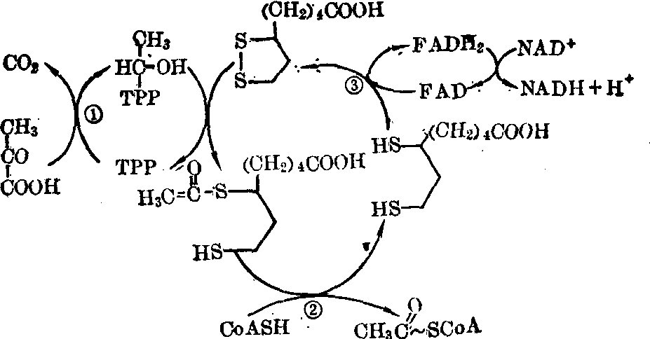
丙酮酸氧化脱羧生成乙酰CoA 糖酵解时丙酮酸是在胞浆中生成,然后进入线粒体内氧化。丙酮酸不是三羧酸循环内的成分,要被丙酮酸脱氢酶系统催化,进行α脱羧作用,转变为乙酰CoA,才能进入三羧酸循环氧化。丙酮酸脱氢酶系统包括三个酶及六个辅助因子。三个酶是丙酮酸脱氢酶、二氢硫辛酸脱氢酶和二氢硫辛酸转乙酰酶; 六个辅助因子是TPP,NAD+、硫辛酸、辅酶A、FAD和Mg2+,反应总式如下:
总的反应可以分为三步。第一步是丙酮酸在丙酮酸脱氢酶催化下,脱羧生成CO2和与TPP结合成复合物的乙酰醇。TPP是丙酮酸脱氢酶的辅酶,牢固地与酶蛋白结合。
第二步是二碳的乙酰醇基首先转移到氧化型的硫辛酸上。硫辛酸是以共价键结合在硫辛酸转乙酰酶的酶蛋白上。
此反应结果生成一个高能硫酯键。此时的二碳单位已经转变为乙酰基而不是乙醛。
然后,乙酰基转移给辅酶A,生成乙酰CoA。乙酰CoA从酶分子上解离出来,成为自由状态的总反应产物之一。
二氢硫辛酸转乙酰酶上的还原型硫辛酸,被酶系统的第三个酶即二氢硫辛酸脱氢酶催化,再氧化为环状硫辛酸。二氢硫辛酸脱氢酶是属于黄素蛋白,含FAD。最后,FADH2被NAD+再氧化,生成FAD和NADH:
丙酮酸脱氢酶系统催化的反应过程可以用下图说明。
丙酮酸脱氢酶系统催化的全部反应,除了起始一步的脱羧作用外,都是可逆的。因为第一步不可逆,使总的反应不可逆。
丙酮酸脱氢酶系统已从猪心线粒体及大肠杆菌分离出来,其分子量为4.8×106。


丙酮酸脱氢酶系统


三羧酸循环的反应步骤 丙酮酸氧化脱羧生成的乙酰CoA,进一步彻底氧化为CO2和H2O。反应是从与草酰乙酸缩合为三个羧基的柠檬酸开始。由于草酰乙酸进入循环与乙酰基结合成含有三个羧基的柠檬酸,故称为三羧酸循环。而草酰乙酸最终又从循环中重新生成,因此其量没有减少。每循环一次,仅用去一分子乙酰基,生成二分子CO2。此循环机制是由Krebs于1937年首先提出,故亦称为Krebs循环。
(1) 柠檬酸的合成: 催化乙酰CoA进入三羧酸循环的酶称为柠檬酸合成酶,此酶存在于线粒体的基质中。反应的平衡点大大地偏向柠檬酸的合成。间接的证据指出,首先是生成柠檬酰CoA,然后裂解为自由的柠檬酸和辅酶A。
柠檬酸的合成是三羧酸循环本身的第一步,这一步能否进行,关系到整个循环机构能否运转。ATP和柠檬酸对柠檬酸合成酶起抑制作用。
(2)柠檬酸转变为异柠檬酸: 柠檬酸和异柠檬酸间的互相转变,是乌头酸酶催化的,而此酶的作用需要Fe2+离子。乌头酸酶催化柠檬酸和异柠檬酸之间的异构作用时,中间产物是顺乌头酸。
异柠檬酸从柠檬酸生成时,对称的柠檬酸分子在乌头酸酶作用下,变为不对称状态。
(3) 异柠檬酸脱羧生成α酮戊二酸: 异柠檬酸脱氢酶在二价阳离子(Mg2+或Mn2+)的存在下,催化异柠檬酸进行氧化脱羧,生成α酮戊二酸及CO2。此酶的辅酶是NAD+或NADP+,反应分两步进行,首先脱氢氧化,生成草酰琥珀酸,然后进行脱羧作用,生成α酮戊二酸和CO2

生成的草酰琥珀酸与酶蛋白及Mn2+结合成一不稳定的复合物,然后脱去β位的羧基。
哺乳动物大多数组织含有两种异柠檬酸脱氢酶。其中一个需要NAD+和Mg2+,只存在于线粒体内,另外一个需要NADP+,在线粒体和胞浆均有存在。NAD+特异性的异柠檬酸脱氢酶与三羧酸循环的分解功能有关; 线粒体内需要NADP+的异柠檬酸脱氢酶参于某些合成作用。NAD+特异性异柠檬酸脱氢酶受变构效应剂的精细调节,异柠檬酸和AMP是正效应剂,这些化合物结合在酶的效应剂部位,提高异柠檬酸和NAD+在酶的催化部位上的结合。ATP和NADH是负效应剂,它们与酶结合,就降低酶与底物的结合。
(4) α酮戊二酸转变为琥珀酰CoA: α酮戊二酸进行α氧化脱羧,生成琥珀酰CoA。这个反应是由α酮戊二酸脱氢酶系统催化的。这个酶系统的催化机构与丙酮酸脱氢酶系统相类似,也需要TPP+、Mg2+、NAD+、辅酶A、硫辛酸和FAD作辅助因子。反应总式如下:
在整个反应中,因为有氧化脱羧一步,所以反应是不可逆的。由α酮戊二酸脱氢酶系统催化生成的琥珀酰CoA及NADH,反过来对酶系统起抑制作用。


(5)琥珀酰CoA转变为琥珀酸: α酮戊二酸转变为琥珀酰CoA时,生成含有高能的硫酯键 在琥珀酸硫激酶的催化下转变为高能磷酸键。
反应生成的GTP在二磷酸核苷激酶的催化下,生成ATP及GDP。由于GTP和ATP分子内的焦磷酸键水解时△G′约略相等,故反应是可逆的。
(6) 琥珀酸转变为延胡索酸: 琥珀酸脱氢酶催化琥珀酸脱去两个氢原子,生成延胡索酸(反型)。
琥珀酸脱氢酶的辅酶FAD是反应进行时电子的直接接受体,此酶与其他黄素酶不同的地方,是FAD通过共价键结合在琥珀酸脱氢酶的酶蛋白上。琥珀酸脱氢酶与线粒体内膜的结合非常牢固,要把它溶解出来很困难。从牛心和酵母制得的制剂每一分子酶 (分子量为200,000)含有一分子黄素及4个铁原子。这些铁原子与细胞色素内的铁原子不同,它们不是与原卟啉结合,故称为“非原卟啉铁”。目前已经知道在生物组织内存在数种含非原卟啉铁的蛋白质,它们是在氧化还原反应中起作用,其中的铁原子交替地进行氧化和还原。琥珀酸脱氢酶可以被丙二酸进行竞争性抑制。
(7)延胡索酸转变为苹果酸: 延胡索酸加水形成L苹果酸:
催化此反应的酶是延胡索酸酶,已从猪心制成结晶(分子量为200 000)。此酶是由4个相同的亚基构成的四聚体。
(8)苹果酸转变为草酰乙酸: 当L苹果酸在苹果酸脱氢酶作用下氧化生成草酰乙酸时,三羧酸循环就完成了一周。此反应是三羧酸循环过程中第四个氧化还原反应; 从猪心制得的苹果酸脱氢酶它的辅酶是NAD+
在pH7.0时,反应的平衡常数是1.3×10-5,平衡点极大地偏向左方。但草酰乙酸与乙酰CoA容易结合成柠檬酸进入三羧酸循环,因而不断地去除草酰乙酸而打破平衡,促使苹果酸转变为草酰乙酸。
线粒体基质中的苹果酸脱氢酶与胞浆中的同功酶是不同的。胞浆的苹果酸脱氢酶在胞浆NADH转变为NADPH的过程中起重要作用 由此而使长链脂肪酸的合成得以进行。
糖有氧氧化的特点 糖的有氧氧化不同于无氧酵解的部分是从丙酮酸被氧化开始的。丙酮酸彻底氧化为CO2及H2O主要是通过三羧酸循环一系列反应一步一步地完成的(反应(1)—(8)),总的反应式:CH5CO—CCOH+21/2O2→3CO2+2H2O (9)
(1) 糖的有氧氧化过程有五步氧化反应,即反应(1)、(3)、(4)、(6)及(8)。每一步氧化反应从作用物脱出一对氢原子(2H),转移给NAD+或FAD。这些被还原的辅酶都是把质子和电子通过呼吸链转递,结果,5个氧原子(或21/2O2)被还原。而它们本身则再氧化。
(2) 当5对电子将分子O2还原时,有5分子H2O生成:
如上所述,在反应(2)及(7)直接消耗掉2分子H2O,在反应(5)从GDP和H3PO4生成GTP时,亦用掉1分子H2O,所以丙酮酸完全氧化时[反应(9)]只有2分子H2O净生成。
(3) 糖的有氧氧化过程中产生3分子CO2,这是相当于丙酮酸的三个碳原子,但要注意,只有在反应(1)产生CO2是直接来自丙酮酸,其余2分子CO2[反应(3)及(4)]是来自草酰乙酸的两个羧基。
三羧酸循环内全部反应除了α酮戊二酸的α氧化脱羧[反应(4)]外,其余都是可逆的。这步反应完全与丙酮酸不可逆的α氧化脱羧相类似。这就是说,虽然三羧酸循环个别地方是可逆的(例如草酰乙酸至琥珀酸,α酮戊二酸至柠檬酸),但总的反应是不能逆转的。
(4)糖的有氧氧化是体内从糖类物质获得能量的主要途径。在这一途径中,一分子葡萄糖可使38个ADP成为ATP,因而产生38个高能磷酸键。
有氧氧化的生理意义 (1)表1是葡萄糖有氧氧化过程中ATP消耗和生成的总结。根据表1可见,每摩尔葡萄糖彻底氧化为H2O及CO2时,净生成38mol ATP,与糖酵解只生成2mol ATP相比,为后者的19倍。因此,在一般生理条件下,各种组织细胞(除红细胞外)主要从糖的有氧氧化获得能量。糖的有氧氧化不但产能效率高,而且逐步释能,并逐步贮存于ATP分子中,因此能的利用率也极高。
(2) 三羧酸循环的起始物乙酰辅酶A,不但是糖氧化分解的产物,也可来自脂肪的甘油、脂肪酸及蛋白质中某些氨基酸的分解代谢,因此三羧酸循环实际上是糖、脂肪及蛋白质在体内氧化供能的共同主要途径。

表1 葡萄糖有氧氧化生成ATP

反应过程生成ATP数
葡萄糖—→6磷酸葡萄糖
6磷酸果糖—→1, 6二磷酸果糖
-1
-1
3磷酸甘油醛+NAD++P1→1,3二磷酸甘油酸
+NADH+H+
2×3
1,3二磷酸甘油酸+ADP→3磷酸甘油酸+ATP
磷酸烯醇式丙酮酸+ADP→烯醇式丙酮酸
+ATP
2×1
2×1
丙酮酸+NAD+—→乙酰CoA+NADH+H+
+CO2
2×3
异柠檬酸+NAD+—→α酮戊二酸+NADH
+H++CO2
2×3
α酮戊二酸+NAD+—→琥珀酰CoA+NADH
+H++CO2
2×3
琥珀酰CoA+ADP+Pi—→琥珀酸+ATP
琥珀酸+FAD—→延胡索酸+FADH2
苹果酸+NAD+—→草酰乙酸+NADH+H+
2×1
2×2
2×3
总 计38

(3) 因糖及甘油代谢生成的α酮戊二酸及草酰乙酸等三羧酸循环中间物可以转变成某些氨基酸,而这些氨基酸又可通过不同途径变成草酰乙酸,再经酵解逆转过程变成糖或甘油,因此三羧酸循环不仅是糖、脂肪和蛋白质分解代谢的最终共同途径,而且也是它们互相转变的联络机构。三羧酸循环还是细胞内某些生物合成所需的中间物的主要来源。例如琥珀酰CoA,它被用于合成血红蛋白、肌红蛋白及细胞色素内的卟啉环。
下面将糖的有氧氧化和无氧酵解的主要区别列于表2,以资比较。

表2 有氧氧化和无氧酵解的比较

糖的分解方式有氧氧化无氧酵解
氧气参与
最终产物
ATP产生多少
进行场所

水及二氧化碳

线粒体

乳酸

细胞浆

有氧氧化的调节 糖酵解及有氧氧化是人体主要的供能途径。人体可适应内外环境的变化,精确地调节这两条糖代谢途径的速度,以满足能量的需求。凡能影响糖酵解酶体系的因素都能影响糖的有氧氧化,如己糖激酶、磷酸果糖激酶及丙酮酸激酶活性升高,能供给有氧氧化途径较多的作用物而有利于其进行。但事实上有氧氧化与酵解作用常表现互相制约,故有氧氧化也有其独特的调节作用。调节有氧氧化的主要酶是丙酮酸脱氢酶系统、柠檬酸合成酶、异柠檬酸脱氢酶及α酮戊二酸脱氢酶系统。
丙酮酸脱氢酶系统的调节 丙酮酸脱氢酶系统的活性受多种因素调节(图):
(1) 乙酰CoA与 CoA竞争与酶结合,因而是它的抑制剂。乙酰CoA/CoA的比值越大,酶的活性越小。同样,能产生乙酰CoA的脂肪酸及酮体也能抑制此酶系统的活性。
(2) 丙酮酸脱氢酶系统(PDC): 存在有活性与无活性两种状态。有活性PDC受PDC激酶的催化,起磷酸化反应,转变为无活性的PDC。后者受磷酸酶催化,脱去磷酸,又转变为活性型PDC。PDC的活性转变还受到ATP/ADP比值的调节,ATP增多,可激活PDC激酶,使活性型PDC加速转变成无活性型PDC,从而降低丙酮酸脱氢酶系统的活性。胰岛素直接加强丙酮酸脱氢酶系统的活性。脂肪组织与胰岛素接触,其中丙酮酸脱氢酶活性增加2~3倍,这很可能由于胰岛素加强PDC磷酸酶活性,使PDC的活性型增多的结果。
(3) NADH的抑制作用: 乙酰CoA和NADH的抑制作用在肌肉缺氧时有重要意义。当氧供应不足时,糖酵解生成的NADH不能经呼吸链氧化生成NAD+,以致细胞内NADH浓度增加,再加上无氧时乙酰CoA不能氧化,都可以抑制丙酮酸脱氢酶系统,使丙酮酸含量增加。后者在乳酸脱氢酶催化下,从NADH接受氢,还原为乳酸,而使NAD+得以再生,作为酵解酶系统的受氢体。这样肌肉可以在无氧情况下继续进行酵解,产生ATP。

6-磷酸葡萄糖


柠檬酸合成酶 柠檬酸合成酶是三羧酸循环的起始酶。它的活性受到多种化合物的调节。α酮戊二酸、NADH及ATP都能对此酶活性起抑制作用。AMP起激活作用。ATP和ADP对柠檬酸合成酶的不同作用,是能量代谢物质对糖代谢调节的另一种形式。
此外,柠檬酸合成酶还受长链脂肪酰CoA的抑制,后者是脂肪酸氧化生成乙酰CoA的中间产物。当脂肪分解过速时,虽产生较多的乙酰CoA,但因长链脂肪酰CoA量增多,抑制柠檬酸合成酶,三羧酸循环反而减慢,以致乙酰CoA缩合成较多的酮体而脱离三羧酸循环。

丙酮酸脱氢酶系统作用的调节


异柠檬酸脱氢酶 此酶是三羧酸循环中第一个催化不可逆脱氢反应的酶,受ATP抑制,受ADP、AMP激活。这是体内ATP含量丰富时。三羧酸循环的运转减慢的又一原因。
α酮戊二酸脱氢酶系统 与丙酮酸脱氢酶系统相似,受到它催化反应生成的产物琥珀酰CoA及NADH的抑制,也受到ATP与ADP、AMP比值的调节。
上述四个酶活性都受到ATP的抑制,ADP和AMP的激活,故当细胞内ATP水平较高时,即能量贮存丰富时,乙酰CoA进入三羧酸循环以及三羧酸循环的运行速度相应减慢,从而调节有氧氧化供能的速度。
☚ 糖酵解   磷酸戊糖途径 ☛
00000677
随便看

 

离鸟网收录3541549条中英文词条,其功能与新华字典、现代汉语词典、牛津高阶英汉词典等各类中英文词典类似,基本涵盖了全部常用中英文字词句的读音、释义及用法,是语言学习和写作的有利工具。

 

Copyright © 2004-2024 vtrois.com All Rights Reserved
更新时间:2026/4/19 18:31:16