网站首页  词典首页


请输入您要查询的字词:

 

字词 保证总车速的稳定
类别 中英文字词句释义及详细解析
释义 保证总车速的稳定

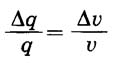
造纸机车速(v)及其变化和抄纸定量(q)及其变化之间的关系是

根据限定纸的定量波动范围的质量要求,纸机传动要有稳速系统。在上浆浓度值允许±3%波动的条件下,纸机车速偏差最大允许值如表11-8-2。

表11-8-2 纸机车速偏差最大允许值

随便看

 

离鸟网收录3541549条中英文词条,其功能与新华字典、现代汉语词典、牛津高阶英汉词典等各类中英文词典类似,基本涵盖了全部常用中英文字词句的读音、释义及用法,是语言学习和写作的有利工具。

 

Copyright © 2004-2024 vtrois.com All Rights Reserved
更新时间:2026/4/20 6:00:16