网站首页  词典首页


请输入您要查询的字词:

 

字词 等额年金法
类别 中英文字词句释义及详细解析
释义

等额年金法

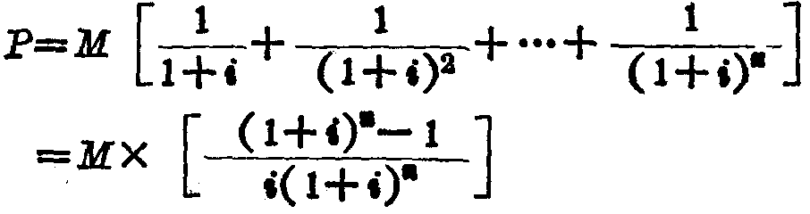
即逐年等额贷款(存款),N年累计一次偿还(取出)本利和的计算方法。例如,从某银行贷款P元,每年末偿付M元,n年后本利和全部还清。第K年末应偿还M元的现值为M(1+i)-h。n年末应偿还金额的现值总数为P元。则 

定额序列现值因素

移项可得

随便看

 

离鸟网收录3541549条中英文词条,其功能与新华字典、现代汉语词典、牛津高阶英汉词典等各类中英文词典类似,基本涵盖了全部常用中英文字词句的读音、释义及用法,是语言学习和写作的有利工具。

 

Copyright © 2004-2024 vtrois.com All Rights Reserved
更新时间:2026/4/20 21:30:01