网站首页  词典首页


请输入您要查询的字词:

 

字词 等差数列
类别 中英文字词句释义及详细解析
释义

等差数列←→等比数列děng chà shù liè ← → děng bǐ shù liè

等差数列:由第二项起,任一一项与前一项的差恒等的数列,如:7、10、13、16
等比数列:由第二项起,任一项与前一项的比恒等的数列,如:3、6、12、24

等差数列

等差数列dengcha shulie

从第二项起,每一项都等于前一项加上同一个数d的有限数列或无限数列.又叫算术数列.这个数d称为等差数列的公差.等差数列可以记作

a1,a1+d,a1+2d,…,a1+(n-1)d,…

等差数列的通项公式是

an=a1+(n-1)d


前n项和公式是


等差数列从第二项开始每一项是前项和后项的算术平均数.
如果等差数列的公差是正数,则该等差数列是递增数列;如果等差数列的公差是负数,则该数列是递减数列;如果等差数列的公差等于零,则该数列是常数列.
对于一个数列al,a2,…,an,…,如果它的相邻两项之差a2-a1,a3-a2,…,an+1-an,…构成公差不为零的等差数列,则称数列{an}为二阶等差数列.
运用递归的方法可以依次定义各阶等差数列:对于数列{an},如果{an+1-an}是r阶等差数列,则称数列{an}是r+1阶等差数列.二阶或二阶以上的等差数列称为高阶等差数列.
r阶等差数列的通项公式可以用一个关于项数n的r次多项式来表示,反之,通项公式为项数n的r次多项式的数列必为r阶等差数列.
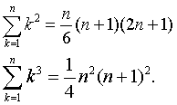
高阶等差数列的求和方法主要有两种,一种是将其通项(项数n的r次多项式)表成差分多项式的线性组合从而求和.另一种是利用自然数幂的求和公式,如


r阶等差数列的前n项和公式是项数n的r+1次多项式,对r不太高的情况也可用待定系数法来确定.
二阶等差数列的通项

式中an是第n项,a1是第一项,n为项数,d1是数列的后项减去紧邻的前一项所得的第一次差构成的数列的首项,d2是第二次差.例如二阶等差数列1,4,9,16,25,36,49,…,通项


二阶等差数列前n项和

例如二阶等差数列 {n2}前n项和

☚ 斐波那契数   高阶等差数列 ☛
00012505
随便看

 

离鸟网收录3541549条中英文词条,其功能与新华字典、现代汉语词典、牛津高阶英汉词典等各类中英文词典类似,基本涵盖了全部常用中英文字词句的读音、释义及用法,是语言学习和写作的有利工具。

 

Copyright © 2004-2024 vtrois.com All Rights Reserved
更新时间:2026/4/19 20:40:39