网站首页  词典首页


请输入您要查询的字词:

 

字词 竹桃霉素和三乙酰竹桃霉素
类别 中英文字词句释义及详细解析
释义
竹桃霉素和三乙酰竹桃霉素

竹桃霉素和三乙酰竹桃霉素

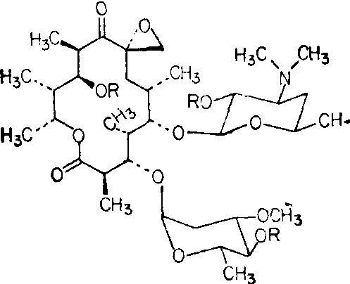
竹桃霉素R=H

三乙酰竹桃霉素R=COCH3


竹桃霉素(oleandomycin)是Str.antibioticus产生的性十四元环大环酯抗生素。 难溶于水, 其磷酸盐易溶于水。其衍生物三乙酰竹桃霉素,对酸较竹桃霉素稳定,临床主要用三乙酰竹桃霉素。
竹桃霉素与三乙酰竹桃霉素的抗菌谱类似,体外活性均较红霉素差,主要对革兰阳性细菌,如葡萄球菌、链球菌、肺炎球菌、白喉杆菌、破伤风杆菌、产气荚膜杆菌、炭疽杆菌等有强大抗菌作用。革兰阴性细菌中除脑膜炎球菌、淋球菌、流感杆菌及百日咳杆菌外,对之均不敏感。细菌对竹桃霉素与红霉素有不完全交叉耐药性。
竹桃霉素临床应用范围与红霉素大致相同,可用于葡萄球菌、肠球菌等感染。但由于其抗菌活力不及红霉素,且葡萄球菌对红霉素及竹桃霉素产生不完全交叉耐药性,因此临床用途不广。三乙酰竹桃霉素口服吸收良好,血浓度较竹桃霉素高,维持时间长,消除方式与螺旋霉素相似,但对肝脏产生损害,使肝功能异常,发生肝细胞和胆汁郁积性黄疸,临床应用受到相当限制。
竹桃霉素磷酸盐或盐酸盐可供口服,成人每日2g,分四次服;儿童每日30~40mg/kg,分3~4次服;静脉注射剂量同上。
三乙酰竹桃霉素口服成人每日1~2g,分四次服。儿童每日25~40mg/kg,分四次服。
☚ 红霉素   柱晶白霉素与交沙霉素 ☛
00005632
随便看

 

离鸟网收录3541549条中英文词条,其功能与新华字典、现代汉语词典、牛津高阶英汉词典等各类中英文词典类似,基本涵盖了全部常用中英文字词句的读音、释义及用法,是语言学习和写作的有利工具。

 

Copyright © 2004-2024 vtrois.com All Rights Reserved
更新时间:2026/4/19 5:01:47