侧压浓缩机进、出浆浓度的确定计算
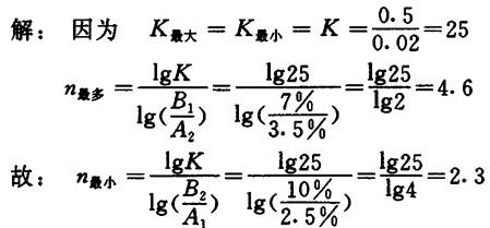
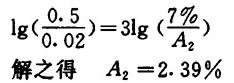
【说明】 侧压浓缩机的进浆和出浆浓度的确定需根据洗涤效果和已定的侧压浓缩机串联台数来进行计算,下面举例说明。 【例】 已知漂白后残氯为0.5g/L,要求洗至残氯为0.02g/L,已安装了3台串联的侧压浓缩机,其进口浓度和出口浓度分别为2.5%~3.5%和7%~10%,问能否满足工艺要求?  可见现有的三台串联侧压浓缩机只有工艺参数选择适当,才能满足要求,如果出浆浓度为7%,要将浆由残氯0.5g/L洗至0.02g/L,设最大进浆浓度为A2(%),则根据式1-6-62得:  即进浆的浓度不得超过2.39%,否则就达不到工艺要求的残氯为0.02g/L。 如果进浆浓度为3%,要把浆由残氯为0.5g/L洗至0.02g/L,设最小出浆浓度为B1(%),则:  解之得 B1=8.77% 即出浆浓度不得低于8.77%,否则同样洗不到工艺要求的残氯为0.02g/L。 |