网站首页  词典首页


请输入您要查询的字词:

 

字词 依高地平
类别 中英文字词句释义及详细解析
释义 依高地平

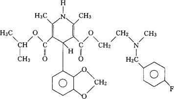
C29H33FN2O6=524.59

CAS-119413-55-7

异丙基(±)-1,4-二氢-2,6-二甲基-4-[2,3(亚甲基二氧)苯基]-3,5-吡啶二羧酸2-[(对-氟苄基)甲基氨基]乙酯。

2-[(p-Fluorobenzyl)methylamino]ethyl isopropyl(±)-1,4-di-hydro-2,6-dimethyl-4-[2,3-(methylenedioxy)phenyl]-3,5-pyridinedicarboxylate.

血管扩张药。

Elgodipine.

INN,USAN.

随便看

 

离鸟网收录3541549条中英文词条,其功能与新华字典、现代汉语词典、牛津高阶英汉词典等各类中英文词典类似,基本涵盖了全部常用中英文字词句的读音、释义及用法,是语言学习和写作的有利工具。

 

Copyright © 2004-2024 vtrois.com All Rights Reserved
更新时间:2026/4/19 1:17:59