网站首页  词典首页


请输入您要查询的字词:

 

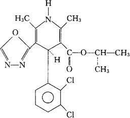
字词 依那地平
类别 中英文字词句释义及详细解析
释义 依那地平

C19H19Cl2N3O3=408.28

CAS-103946-15-2

异丙基(-)-(S)-4-(2,3-二氯苯基)-1,4-二氢-2,6-二甲基-5-(1,3,4-噁二唑-2-基)烟酸酯。

Isopropyl(-)-(S)-4-(2,3-dichlorophenyl)-1,4-dihydro-2,6-dimethyl-5-(1,3,4-oxadiazol-2-yl)nicotinate.

4-(2,3-二氯苯基)-1,4-二氢-2,6-二甲基-5-(1,3,4噁-二唑-2-基)-3-吡啶羧酸1-甲基乙基酯。

4-(2,3-Dichlorophenyl)-1,4-dihydro-2,6-dimethyl5-(1,3,4-oxadiazol-2-yl)-3-pyridinecarboxylic acid 1-methylethyl ester.

血管扩张药,钙拮抗药。

Elnadipine.

INN,USAN.

随便看

 

离鸟网收录3541549条中英文词条,其功能与新华字典、现代汉语词典、牛津高阶英汉词典等各类中英文词典类似,基本涵盖了全部常用中英文字词句的读音、释义及用法,是语言学习和写作的有利工具。

 

Copyright © 2004-2024 vtrois.com All Rights Reserved
更新时间:2026/4/18 16:45:05