网站首页  词典首页


请输入您要查询的字词:

 

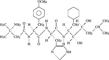
字词 依那吉仑
类别 中英文字词句释义及详细解析
释义 依那吉仑

C35H56N6O6=656.87

CAS-113082-98-7

[1S-(1R*,2S*,3R*)]-N-(3-氨基-3-甲基-1-氧丁基)-O-甲基-L-酪氨酰-N-[1-(环己基甲基)-2,3-二羟基-5-甲基己基]-L-组胺酰胺。

[1S-(1R*,2S*3,R*)]-N-(3-Amino-3-methyl-1-oxobutyl)-O-methyl-L-tyrosyl-N-[1-(cyclohexylmethyl)-2,3-dihydroxy-5-methylhexyl]-L-histidinamide.

(αS)-α-[(αS)-α-(3-氨基-3-甲基丁酰胺基)-对-甲氧基氢肉桂酰胺基]-N-[(1S,2R,3S)-1-(环己基甲基)-2,3-二羟基-5-甲基己基]咪唑-4-丙酰胺。

(αS)-α-[(αS)-α-(3-Amino-3-methylbutyramido)-pmethoxyhydrocinnamamido]-N-[(1S,2R,3S)-1-(cyclohexylmethyl)-2,3-dihydroxy-5-methylhexyl]imidazole-4-propionamide.

抗高血压药。

Enalkiren,Abbott-64662.

INN,USAN.

随便看

 

离鸟网收录3541549条中英文词条,其功能与新华字典、现代汉语词典、牛津高阶英汉词典等各类中英文词典类似,基本涵盖了全部常用中英文字词句的读音、释义及用法,是语言学习和写作的有利工具。

 

Copyright © 2004-2024 vtrois.com All Rights Reserved
更新时间:2026/4/18 3:02:53