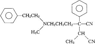
依莫帕米
C23H30N2=334.50 CAS-78370-13-5 2-异丙基-5-(甲基苯乙基氨基)-2-苯戊腈。 2-Isopropyl-5-(methylphenethylamino)-2-phenylvaleronitrile. α-(1-甲基乙基)-α-[3-[甲基(2-苯乙基)氨基]丙基]苯基乙腈。 α-(1-Methylethyl)-α-[3-[methyl(2-phenylethyl)amino]propyl]benzeneacetonitrile. 冠脉扩张药。 Emopamil,Sz 45. INN,USAN.  |