网站首页  词典首页


请输入您要查询的字词:

 

字词 依法克生
类别 中英文字词句释义及详细解析
释义 依法克生

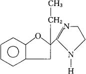
C13H16N2O=216.28

CAS-89197-32-0AA

(±-)-2-(2-乙基-2,3-二氢-2-苯并呋喃基)-2-咪唑啉。

(±)-2-(2-Ethyl-2,3-dihydro-2-benzofuranyl)-2-imidazoline.

(±)-2-(2-乙基-2,3-二氢-2-苯并呋喃基)-4,5-二氢-1H-咪唑。

(±)-2-(2-Ethyl-2,3-dihydro-2-benzofuranyl)-4,5-dihydro-1H-imidazole.

α2-受体阻滞药。

益法罗辛。

Efaroxan.

INN,BAN,USAN.

随便看

 

离鸟网收录3541549条中英文词条,其功能与新华字典、现代汉语词典、牛津高阶英汉词典等各类中英文词典类似,基本涵盖了全部常用中英文字词句的读音、释义及用法,是语言学习和写作的有利工具。

 

Copyright © 2004-2024 vtrois.com All Rights Reserved
更新时间:2026/4/17 23:57:06