网站首页  词典首页


请输入您要查询的字词:

 

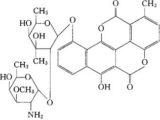
字词 依沙芦星
类别 中英文字词句释义及详细解析
释义 依沙芦星

C33H35NO13=653.64

CAS-97068-30-9

10-[[2-O-(2-氨基-2,6-二脱氧-3-O-甲基-α-D-吡喃半乳糖基)-6-脱氧-3-C-甲基-β-D-吡喃半乳糖基]氧]-6-羟基-1-甲基苯并[h][1]苯并吡喃并[5,4,3-cde][1]苯并吡喃-5,12-二酮。

10-[[2-O-(2-Amino-2,6-dideoxy-3-O-methyl-α-Dgalactopyranosyl)-6-deoxy-3-C-methyl-β-D-galac topyranosyl]oxy]-6-hydroxy-1-methylbenzo[h][1]-benzopyrano[5,4,3-cde][1]benzopyran-5,12-dione.

抗肿瘤药。

INN.

随便看

 

离鸟网收录3541549条中英文词条,其功能与新华字典、现代汉语词典、牛津高阶英汉词典等各类中英文词典类似,基本涵盖了全部常用中英文字词句的读音、释义及用法,是语言学习和写作的有利工具。

 

Copyright © 2004-2024 vtrois.com All Rights Reserved
更新时间:2026/4/18 17:39:10