网站首页  词典首页


请输入您要查询的字词:

 

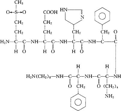
字词 依比拉肽
类别 中英文字词句释义及详细解析
释义 依比拉肽

C48H73N11O10S=996.24

CAS-105250-86-0

L-甲二磺酰-L-谷氨酰-L-组氨酰-L-苯丙氨酰-D-赖氨酰-N-(8-氨基辛基)-L-苯丙氨酰胺S,S-二氧化物。

L-Methionxyl-L-glutamyl-L-histidyl-L-phenylalanyD-lysyl-N-(8-aminooctyl)-L-phenylalaninamide S,S-dioxide.

神经调节药。

Ebiratide.

INN,USAN.

随便看

 

离鸟网收录3541549条中英文词条,其功能与新华字典、现代汉语词典、牛津高阶英汉词典等各类中英文词典类似,基本涵盖了全部常用中英文字词句的读音、释义及用法,是语言学习和写作的有利工具。

 

Copyright © 2004-2024 vtrois.com All Rights Reserved
更新时间:2026/4/18 1:50:11