网站首页  词典首页


请输入您要查询的字词:

 

字词 依替前列通
类别 中英文字词句释义及详细解析
释义 依替前列通

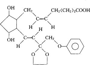
C24H32O7=432.51

CAS-59619-81-7

(Z)-7-[(1R,2R,3R,5S)-3,5-二羟-2-[(E)-2-[2-(苯氧甲基)-1,3-二氧戊环-2-基]烯乙基]环戊基]-5-庚烯酸。

(Z)-7-[(1R,2R,3R,5S)-3,5-Dihydroxy-2-[(E)-2-[2-(phenoxymethyl)-1,3-dioxoln-2-yl]vinyl]cyclopentyl]-5-heptenoic acid.

前列腺素类药,堕胎药。

Etiproston.

INN,USAN.

随便看

 

离鸟网收录3541549条中英文词条,其功能与新华字典、现代汉语词典、牛津高阶英汉词典等各类中英文词典类似,基本涵盖了全部常用中英文字词句的读音、释义及用法,是语言学习和写作的有利工具。

 

Copyright © 2004-2024 vtrois.com All Rights Reserved
更新时间:2026/4/18 6:22:41