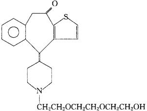
依托替芬
C24H29NO4S=427.56 CAS-82140-22-5 4,9-二氢-4-[1-[2-[2-(2-羟乙氧基)乙氧基]乙基]-4-亚哌啶基]-10H-苯并[4,5]环庚并[1,2-b]噻吩-10-酮。 4,9-Dihydro-4-[1-[2-[2-(2-hydroxyethoxy)ethoxy]ethyl]-4-piperidylidene]-10H-benzo[4,5]cyclohepta[1,2-b]thiophen-10-one. 抗过敏药,平喘药。用于治疗气喘。 Etolotifen,HE36-593. INN,USAN.  |