网站首页  词典首页


请输入您要查询的字词:

 

字词 依托多林
类别 中英文字词句释义及详细解析
释义 依托多林

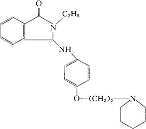
C23H29N3O2=379.50

CAS-21590-92-1

2-乙基-3-(β-哌啶基-对-乙氧苯胺基)苯并吡咯酮。

2-Ethyl-3-(β-piperidino-p-phenetidino)phthalimidine.

2-乙基-2,3-二氢-3-[[4-[2-(1-哌啶基)乙氧基]-苯基]氨基]-1H-异吲哚-1-酮。

2-Ethyl-2,3-dihydro-3-[[4-[2-(1-piperidinyl)ethoxy]-phenyl]amino]-1H-isoindol-1-one.

肌肉松弛药。

艾托米夺宁。

Etomidoline,K2680,Amidolin,Smedolin,Dolispasmo,Miantor S.

INN,USAN,MI.

随便看

 

离鸟网收录3541549条中英文词条,其功能与新华字典、现代汉语词典、牛津高阶英汉词典等各类中英文词典类似,基本涵盖了全部常用中英文字词句的读音、释义及用法,是语言学习和写作的有利工具。

 

Copyright © 2004-2024 vtrois.com All Rights Reserved
更新时间:2026/4/17 20:12:16