网站首页  词典首页


请输入您要查询的字词:

 

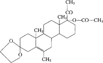
字词 依度孕酮
类别 中英文字词句释义及详细解析
释义 依度孕酮

C26H38O5=430.38

CAS-809-01-8

17-羟基-6-甲基孕甾-5-烯-3,20-二酮环3-(乙烯基乙缩醛)醋酸酯。

17-Hydroxy-6-methylpregn-5-ene-3,20-dionecyclic 3-(ethylene acetal)acetate.

17-(乙酰氧基)-6-甲基-5-孕甾烯-3,20-二酮环3-(1,2-乙烷二基乙缩醛)。17-(Acetyloxy)-6-methyl-5-pregnene-3,20-dione cyclic 3-(1,2-ethanediyl acetal).

促孕甾类药。

益多斯酮。

Edogestrone,PH218.

INN,BAN,USAN.

随便看

 

离鸟网收录3541549条中英文词条,其功能与新华字典、现代汉语词典、牛津高阶英汉词典等各类中英文词典类似,基本涵盖了全部常用中英文字词句的读音、释义及用法,是语言学习和写作的有利工具。

 

Copyright © 2004-2024 vtrois.com All Rights Reserved
更新时间:2026/4/18 17:09:04