网站首页  词典首页


请输入您要查询的字词:

 

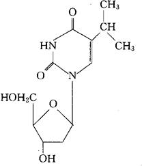
字词 依培夫定
类别 中英文字词句释义及详细解析
释义 依培夫定

C12H18N2O5=270.29

CAS-60136-25-6

2′-去氧-5-异丙基尿苷。

2′-Deoxy-5-isopropyluridine.

抗病毒药。

Epervudine.

INN,USAN.

随便看

 

离鸟网收录3541549条中英文词条,其功能与新华字典、现代汉语词典、牛津高阶英汉词典等各类中英文词典类似,基本涵盖了全部常用中英文字词句的读音、释义及用法,是语言学习和写作的有利工具。

 

Copyright © 2004-2024 vtrois.com All Rights Reserved
更新时间:2026/4/18 0:49:12