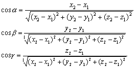
空间线段的定比分点坐标kongjian xianduan de dingbifendian zuobiao
设P1和P2 :是空间的两个点,P点内分或外分有向线段
1P2为两部分
1P和
P2,这两条有向线段的量数比叫做分比,记作λ,即λ=P1P/PP2.当λ>0时,P点为内分点; 当λ<0且λ≠-1时,P点为外分点; 当λ=1时, P点是
1P2的中点. 反过来也成立. 当λ=-1时, P点不存在. 设有向线段
1P2的始点P1 (x1,y1,z1)和终点P2 (x2,y2,z2),则分比为λ (λ≠-1) 的分点P (x,y,z) 的坐标为

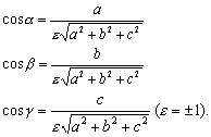
式中

如果λ=n ;m,那么

特别
1P
2的中点坐标是:
