空间两直线间的距离kongjia n liangzhixian jian de juli
设直线l: P=P0+tS及l外一点A,则由点A到直
线l的距离是 设P0={x0,y0,z0},A={a,b,c},S= {l,m,n},则由点A(a,b,c)到直线
的距离是

两平行直线P=P
1+tS和P=P
2+tS的距离是

两平行直线

和


的距离是

与两异面直线皆垂直相交的直线叫做二异面直线的公垂线,两个垂足的连线段叫公垂线段,公垂线段的长就是二异面直线之间的(最短)距离。两异面直线P=P
t+ tS
1和P=Pz+tS
2的公垂线是唯一存在的,它的方程是(P-P
1 ,S
1,S)=0,(P-P
2,S
2,S)=0,此处S=S
1× S
2。两异面直线

和


的公垂线方程是

此处

两异面直线P=P
1+tS
1和P=P
2+tS
2的距离是

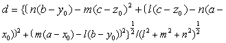
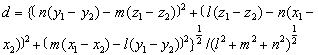
两异面直线

和


的距离是

此处
