网站首页  词典首页


请输入您要查询的字词:

 

字词 空间两方向间的角度
类别 中英文字词句释义及详细解析
释义
空间两方向间的角度

空间两方向间的角度kongjian liaangfangxiangjian dejiaodu

两条异面射线l1和l2的夹角就是过空间任意一点O和它们平行且同向的射线m1和m2的交角θ(0<θ<π).设两条异面射线的方向余弦分别是λ11,γ1和λ2 ,μ2 ,γ2,又它们的夹角为θ,则cosθ=λ1λ2+μ1μ2+γ1γ2. 因为0<θ<π故

sinθ=


设有两点P1 (x1,y1,z1)和P2 (x2,y2,z2),又射线OP1和射线OP2的交角是θ,则


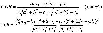
以a1 ,b1,c1和a2 ,b2 ,c2为方向数两条直线所成的一个交角是θ,则有


两条射线的方向余弦分别是λ111和λ222则它们垂直的充要条件是;λ1λ21μ21γ2=0. 以a1 ,b1,c1和a2,b2,c2为方向数的两条直线垂直的充要条件是a1a2+ b1b2 + c1c2= 0. 两点P1 (x1,y1,z1) 和P2(x2 ,y2,z2),则射线OP1和OP2垂直的充要条件是x1x2+y1y2+z1z2=0.
两条射线平行且同向的充要条件是对应的方向余弦相等. 平行且反向的充要条件是对应的方向余弦互为相反数. 以a1 ,b1,c1和a2,b2,c2为方向数的两条直线平行的充要条件是a1/a2=b1/b2=c1/c2.
☚ 方向余弦   两条直线垂直的充要条件 ☛
00013304
随便看

 

离鸟网收录3541549条中英文词条,其功能与新华字典、现代汉语词典、牛津高阶英汉词典等各类中英文词典类似,基本涵盖了全部常用中英文字词句的读音、释义及用法,是语言学习和写作的有利工具。

 

Copyright © 2004-2024 vtrois.com All Rights Reserved
更新时间:2026/4/18 15:32:17