网站首页  词典首页


请输入您要查询的字词:

 

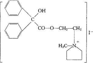
字词 依吡碘铵
类别 中英文字词句释义及详细解析
释义 依吡碘铵

C21H26INO3=467.35

CAS-3478-15-7

CAS-54505-25-8(etipirium)

碘化1-(2-羟乙基)-1-甲基吡咯烷鎓二苯乙醇酸酯。

1-(2-Hydroxyethyl)-1-methylpyrrolidinium iodide benzilate(ester).

1-[2-[(羟基二苯基乙酰基)氧]乙基]-1-碘化甲基吡咯烷噁酯。

1-[2-[(Hydroxydiphenylacetyl)oxy]ethyl]-1-methylpyrroilidinium iodide.

止血药,解痉药。

Etipirium Iodide,Efipyrium Iodide.

INN,USAN.

随便看

 

离鸟网收录3541549条中英文词条,其功能与新华字典、现代汉语词典、牛津高阶英汉词典等各类中英文词典类似,基本涵盖了全部常用中英文字词句的读音、释义及用法,是语言学习和写作的有利工具。

 

Copyright © 2004-2024 vtrois.com All Rights Reserved
更新时间:2026/4/18 10:42:55