网站首页  词典首页


请输入您要查询的字词:

 

字词 依凡达明
类别 中英文字词句释义及详细解析
释义 依凡达明

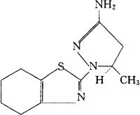
C11H16N4S=236.33

CAS-100035-75-4

(±)-2-(3-氨基-5-甲基-2-吡唑啉-1-基)-4,5,6,7-四氢苯并噻唑。

(±)-2-(3-Amino-5-methyl-2-pyrazolin-1-yl)-4,5,6,7-tetrahydrobenzothiazole.

4,5-二氢-5-甲基-1-(4,5,6,7-四氢-2-苯并噻唑基)-1H-吡唑-3-胺。

4,5-Dihydro-5-methyl-1-(4,5,6,7-tetrahydro-2-benzothiazolyl)-1H-pyrazol-3-amine.

消炎镇痛药。

Evandamine.

INN,USAN.

随便看

 

离鸟网收录3541549条中英文词条,其功能与新华字典、现代汉语词典、牛津高阶英汉词典等各类中英文词典类似,基本涵盖了全部常用中英文字词句的读音、释义及用法,是语言学习和写作的有利工具。

 

Copyright © 2004-2024 vtrois.com All Rights Reserved
更新时间:2026/4/18 17:22:58