依他罗坦
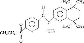
C25H32O2S=396.59 CAS-87719-32-2 (E)-6-[2-[4-(乙基磺酰)苯基]-1-甲基乙烯基]-1,2,3,4-四氢-1,1,4,4-四甲基萘。 (E)-6-[2--4-(Ethylsulfonyl)phenyl]-1-methylethenyl]-1,2,3,4-tetrahydro-1,1,4,4-tetramethyl,naphalene. 6-[(E)-对-(乙基磺酰)-α-甲基苯乙烯基]-1,2,3,4-四氢萘。 6-[(E)-p-(Ethylsulfonyl)-α-methylstyryl]-1,2,3,4-tetrahydronaphthalene. 角质溶解药。 Etarotene,Ro 15-1570/000. INN,USAN.  |